funkcje hiperboliczne - sinus hiperboliczny

Nasza ocena:

5
Pobrań: 28
Wyświetleń: 868
Komentarze: 0
Notatek.pl

Pobierz ten dokument za darmo

Podgląd dokumentu
funkcje hiperboliczne - sinus hiperboliczny - strona 1 funkcje hiperboliczne - sinus hiperboliczny - strona 2

Fragment notatki:

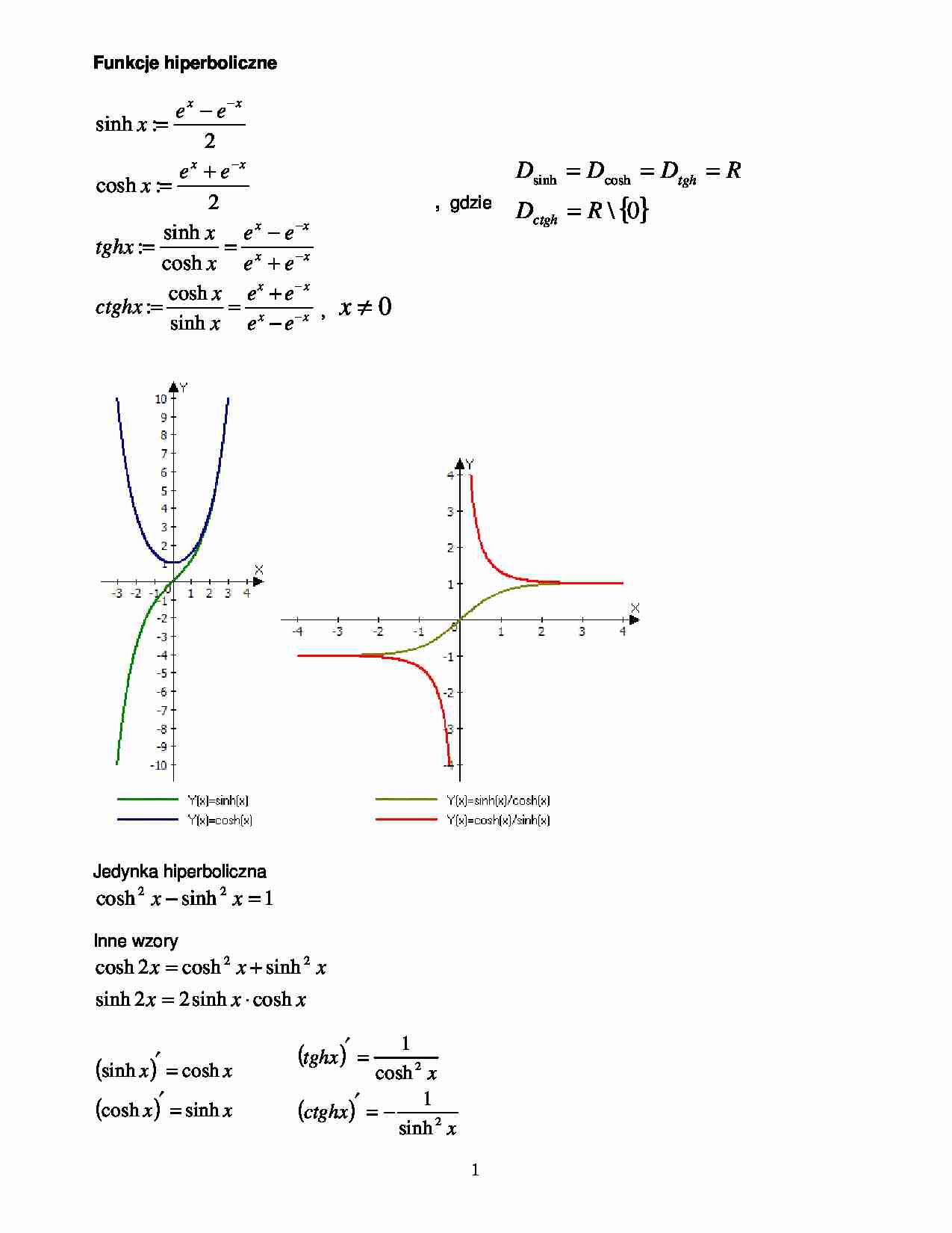
  1  Funkcje hiperboliczne    x x x x x x x x e e e e x x tghx e e x e e x − − − − + − = = + = − = cosh sinh : 2 : cosh 2 : sinh                         ,   gdzie     { } 0 \ cosh sinh R D R D D D ctgh tgh = = = =   x x x x e e e e x x ctghx − − − + = = sinh cosh :  ,   0 ≠ x           Jedynka hiperboliczna  1 sinh cosh 2 2 = − x x     Inne wzory  x x x x x x cosh sinh 2 2 sinh sinh cosh 2 cosh 2 2 ⋅ = + =     ( ) ( ) x x x x sinh cosh cosh sinh = ′ = ′              ( ) ( ) x ctghx x tghx 2 2 sinh 1 cosh 1 − = ′ = ′       2  Nazwa (sinus hiperboliczny, …) wzi ła si  st d,  e funkcje   sinh   i   cosh   ( ) ( ) = = t b t y t a t x sinh cosh   ,  R t ∈   które okre la hiperbol , bo  ( ) ( ) 1 2 2 2 2 = − b t y a t x                                                                                             ... zobacz całą notatkę



Komentarze użytkowników (0)

Zaloguj się, aby dodać komentarz