wzory podstawowe

Nasza ocena:

5
Pobrań: 294
Wyświetleń: 1512
Komentarze: 0
Notatek.pl

Pobierz ten dokument za darmo

Podgląd dokumentu
wzory podstawowe - strona 1

Fragment notatki:


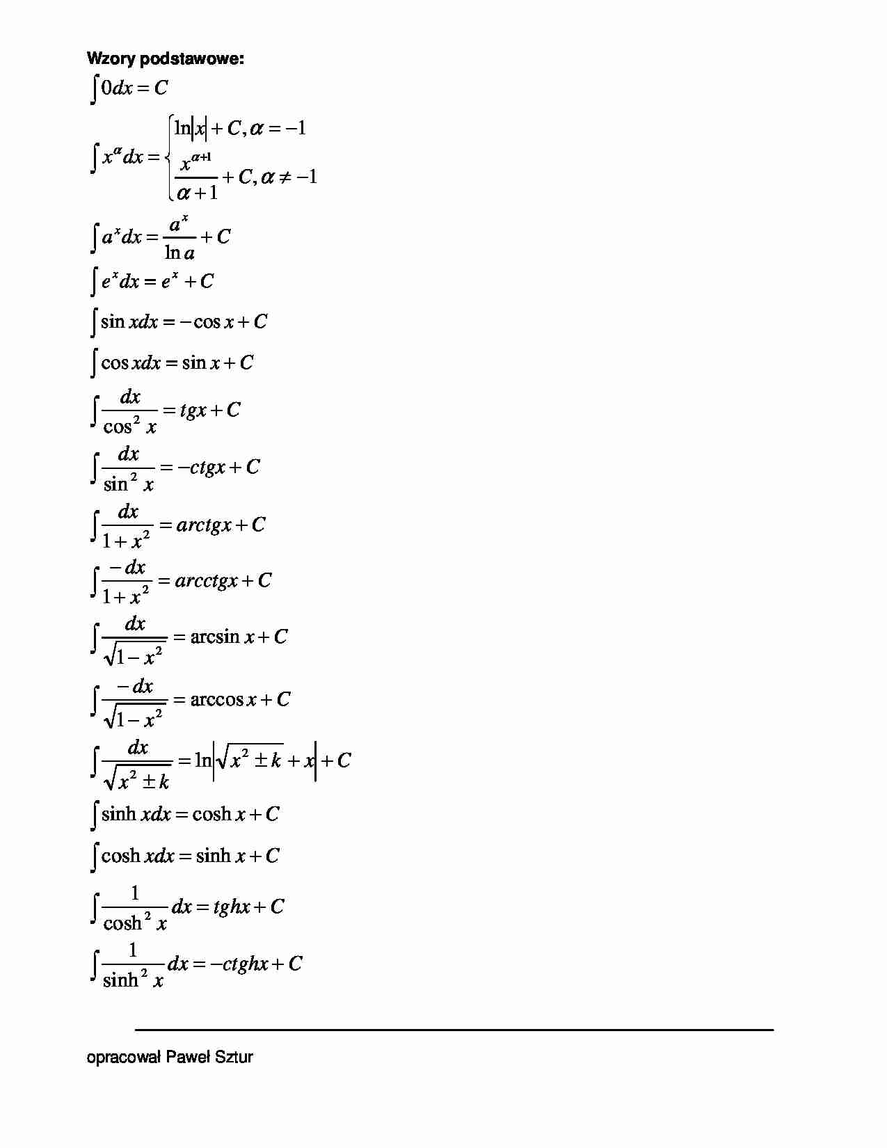
Wzory podstawowe:  C a a dx a C x C x dx x C dx x x + = − ≠ + + − = + = = + ln 1 , 1 1 , ln 0 1 α α α α α   + = + − = + = C x xdx C x xdx C e dx e x x sin cos cos sin   C arctgx x dx C ctgx x dx C tgx x dx + = + + − = + = 2 2 2 1 sin cos   C x x dx C x x dx C arcctgx x dx + = − − + = − + = + − arccos 1 arcsin 1 1 2 2 2   C x k x k x dx + + ± = ± 2 2 ln   C ctghx dx x C tghx dx x C x xdx C x xdx + − = + = + = + = 2 2 sinh 1 cosh 1 sinh cosh cosh sinh         opracował Paweł Sztur    ... zobacz całą notatkę



Komentarze użytkowników (0)

Zaloguj się, aby dodać komentarz