Wzory na całki

Nasza ocena:

3
Pobrań: 735
Wyświetleń: 2856
Komentarze: 0
Notatek.pl

Pobierz ten dokument za darmo

Podgląd dokumentu
Wzory na całki - strona 1

Fragment notatki:

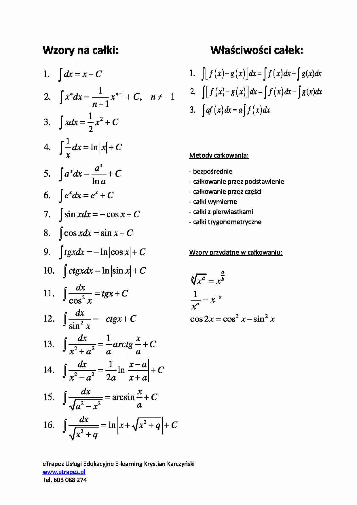
eTrapez Usługi Edukacyjne E-learning Krystian Karczyoski  www.etrapez.pl  Tel. 603 088 274  Wzory na całki:  1 2 2 2 2 1. 1 2. , 1 1 1 3. 2 1 4. ln 5. ln 6. 7. sin cos 8. cos sin 9. ln cos 10. ln sin 11. cos 12. sin 13. n n x x x x dx x C x dx x C n n xdx x C dx x C x a a dx C a e dx e C xdx x C xdx x C tgxdx x C ctgxdx x C dx tgx C x dx ctgx C x dx x a                                             2 2 2 2 2 2 2 1 1 14. ln 2 15. arcsin 16. ln x arctg C a a dx x a C x a a x a dx x C a a x dx x x q C x q                      Właściwości całek:                  1. ( ) 2. ( ) 3. f x g x dx f x dx g x dx f x g x dx f x dx g x dx af x dx a f x dx                            Metody całkowania:  - bezpośrednie  - całkowanie przez podstawienie  - całkowanie przez części  - całki wymierne  - całki z pierwiastkami  - całki trygonometryczne      Wzory przydatne w całkowaniu:    2 2 1 cos 2 cos sin a b a b a a x x x x x x x        ... zobacz całą notatkę



Komentarze użytkowników (0)

Zaloguj się, aby dodać komentarz