Wykład - Racjonalne żywienie a stan zdrowia

Nasza ocena:

3
Pobrań: 49
Wyświetleń: 574
Komentarze: 0
Notatek.pl

Pobierz ten dokument za darmo

Podgląd dokumentu
Wykład - Racjonalne żywienie a stan zdrowia - strona 1 Wykład - Racjonalne żywienie a stan zdrowia - strona 2 Wykład - Racjonalne żywienie a stan zdrowia - strona 3

Fragment notatki:

Racjonalne żywienie a stan zdrowia
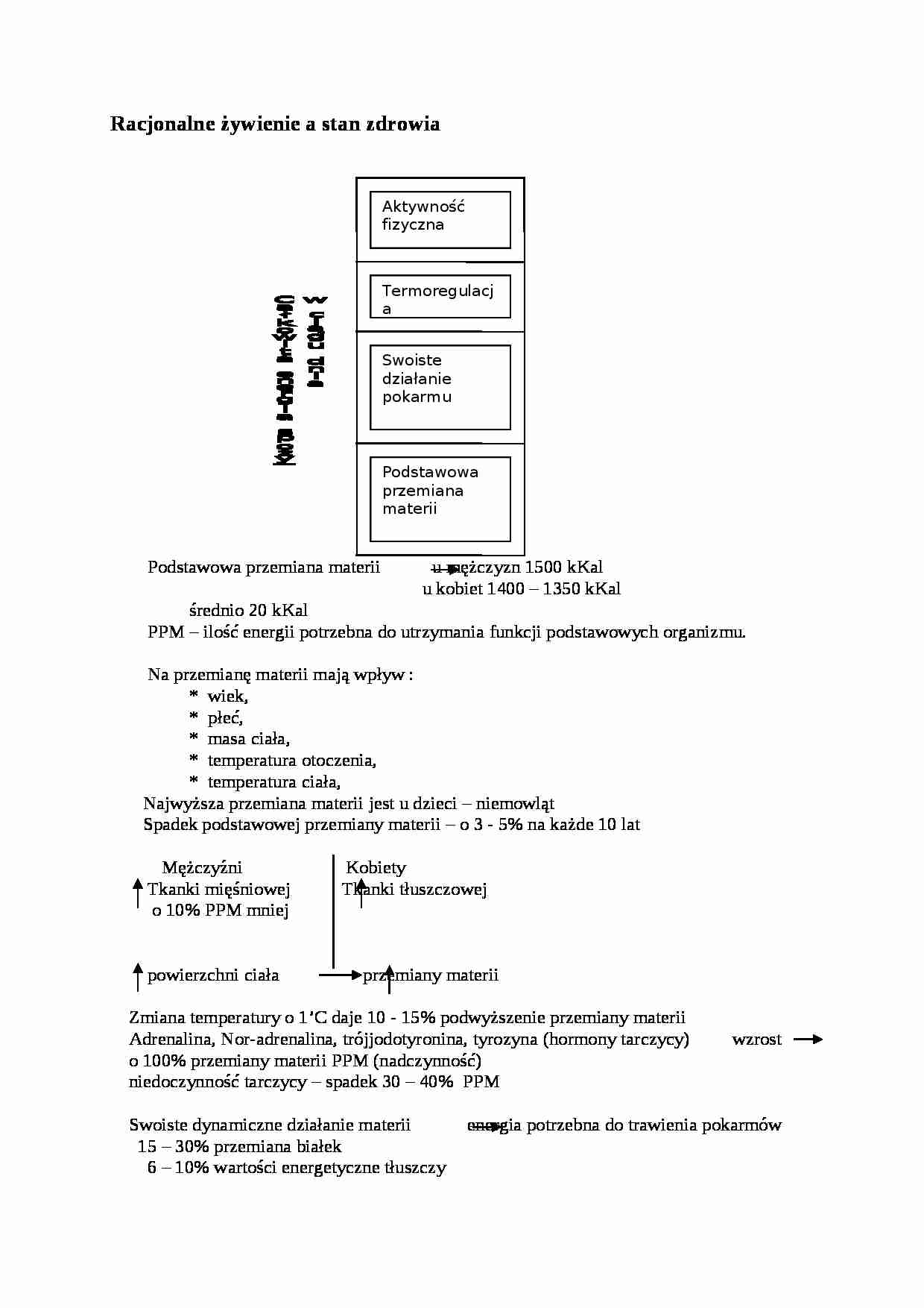
Podstawowa przemiana materii u mężczyzn 1500 kKal u kobiet 1400 - 1350 kKal
średnio 20 kKal
PPM - ilość energii potrzebna do utrzymania funkcji podstawowych organizmu.
Na przemianę materii mają wpływ :
* wiek,
* płeć,
* masa ciała,
* temperatura otoczenia,
* temperatura ciała,
Najwyższa przemiana materii jest u dzieci - niemowląt
Spadek podstawowej przemiany materii - o 3 - 5% na każde 10 lat
Mężczyźni Kobiety Tkanki mięśniowej Tkanki tłuszczowej
o 10% PPM mniej powierzchni ciała przemiany materii
Zmiana temperatury o 1'C daje 10 - 15% podwyższenie przemiany materii
Adrenalina, Nor-adrenalina, trójjodotyronina, tyrozyna (hormony tarczycy) wzrost
o 100% przemiany materii PPM (nadczynność)
niedoczynność tarczycy - spadek 30 - 40% PPM
Swoiste dynamiczne działanie materii energia potrzebna do trawienia pokarmów
15 - 30% przemiana białek
6 - 10% wartości energetyczne tłuszczy
5% wartości energetyczne węglowodanów
Ok. 10% zużywamy na trawienie pokarmów.
Termogeneza zimno - drżenie (oddanie energii)
ciepło - parowanie (oddanie energii) Aktywność fizyczna praca lekka 1000 kKal x 1,5 praca umiarkowana 1000 kKal x 1,7
praca ciężka 1000 kKal x 2 ( do 3) Energię spożywamy :
Białka - polimery aminokwasów, im bardziej skomplikowana budowa tym swoiste działanie.
Tłuszcze
Węglowodany Aminokwasy - egzogenne i endogenne
(8 aminokwasów)
Aminokwasy egzogenne - białka pochodzenia zwierzęcego - pełnowartościowe pokrywają


(…)

… %
węglowodany proste
10 - 20%
Paliwo dla naszego organizmu, znikoma forma zapasowa (75 g)
WŁÓKNO POKARMOWE - błonnik 20 g ( 27 - 40 g) na dobę
Celuloza, hemiceluloza, pektyny, agary
Funkcje : zmniejsza wchłanianie tłuszczów, soli mineralnych,
Zwiększa wchłanianie cholesterolu,
Przyspiesza trawienie tłuszczów,
Przyspiesza pasaż jelit (fermentacji) - przyspieszenie trawienia
20 - 40 g / dobę - błonnik
500g surowych owoców, 200g warzyw, 100g razowego pieczywa (3 kromki)
6 g soli spożycie Na+ na dobę
Makroelementy potas, sód, fosfor, siarka, wapń, magnez
Mikroelementy ( poniżej 100 mg/dobę) Sól modyfikowana - mieszanina KCl i NaCl
KCl 1
NaCl / 2/3
Np. Salvita UNIKAĆ !!! glutaminian sodu - zupy, kostki, chipsy
benzoesan sodu - konserwant napoju
wodorowęglan sodowy - spulchniane pieczywo
GRUPY PRODUKTÓW SPOŻYWCZYCH zbożowe ( źródło energii, węglowodanów, błonnika, witaminy B1 i B2)
mleko i przetwory mleczne (źródło białka, wapnia, witaminy B2 i D oraz A);energii mniej
mięso i wyroby wędliniarskie, ryby ( źródło energii, żelaza, białka, witamin z gr. B)
jaja ( źródło białka, energii-mało, makro- i mikroelementów, witamin B i A oraz śladowe
ilości witaminy D)
masło (źródło tłuszczu, energii, witaminy…
… 1 g tłuszczu
Po spaleniu 1 g tłuszczu uzyskujemy 7,2 g (?)
Powinno być 20 - 30% całkowitej spożytej energii np. palmitynowy
SUFA - 10% 0% z hiperlipidemią
MUFA - 10% 12 - 18% z hiperlipidemią
PUFA - 10% 3 - 7% z hiperlipidemią
Krótkie kwasy tłuszczowe 3 - 6 atomów C
Średniołańcuchowe 8 - 11 atomów C
Długołańcuchowe 12 atomów C
MUFA (jednonienasycone ) - kw. olejowy (egzogenne) ; występuje w olejach roślinnych (olej z oliwek, olej rzepakowy)
Do spożycia na zimno, do surówek
Obniża frakcję LDL, nie wpływa na HDL, trójglicerydy
PUFA (wielonienasycone) - to rodzina kwasów
* omega 6 i omega 3 kw. linolenowy (roślinny- olej sojowy)
Alfa- linolenowy (ekstrakt z Wiesiołka)
Kw. linolowy tłuszcze rybna (tran)
( olej słonecznikowy ) ejkoza EPA ,DHA Powyżej 60%
Obniża frakcję LDL, nie działa na HDL, trójglicerydy…
... zobacz całą notatkę



Komentarze użytkowników (0)

Zaloguj się, aby dodać komentarz