Schemat wyznaczania asymptoty - 1

Nasza ocena:

3
Pobrań: 658
Wyświetleń: 2681
Komentarze: 0
Notatek.pl

Pobierz ten dokument za darmo

Podgląd dokumentu
Schemat wyznaczania asymptoty - 1 - strona 1

Fragment notatki:

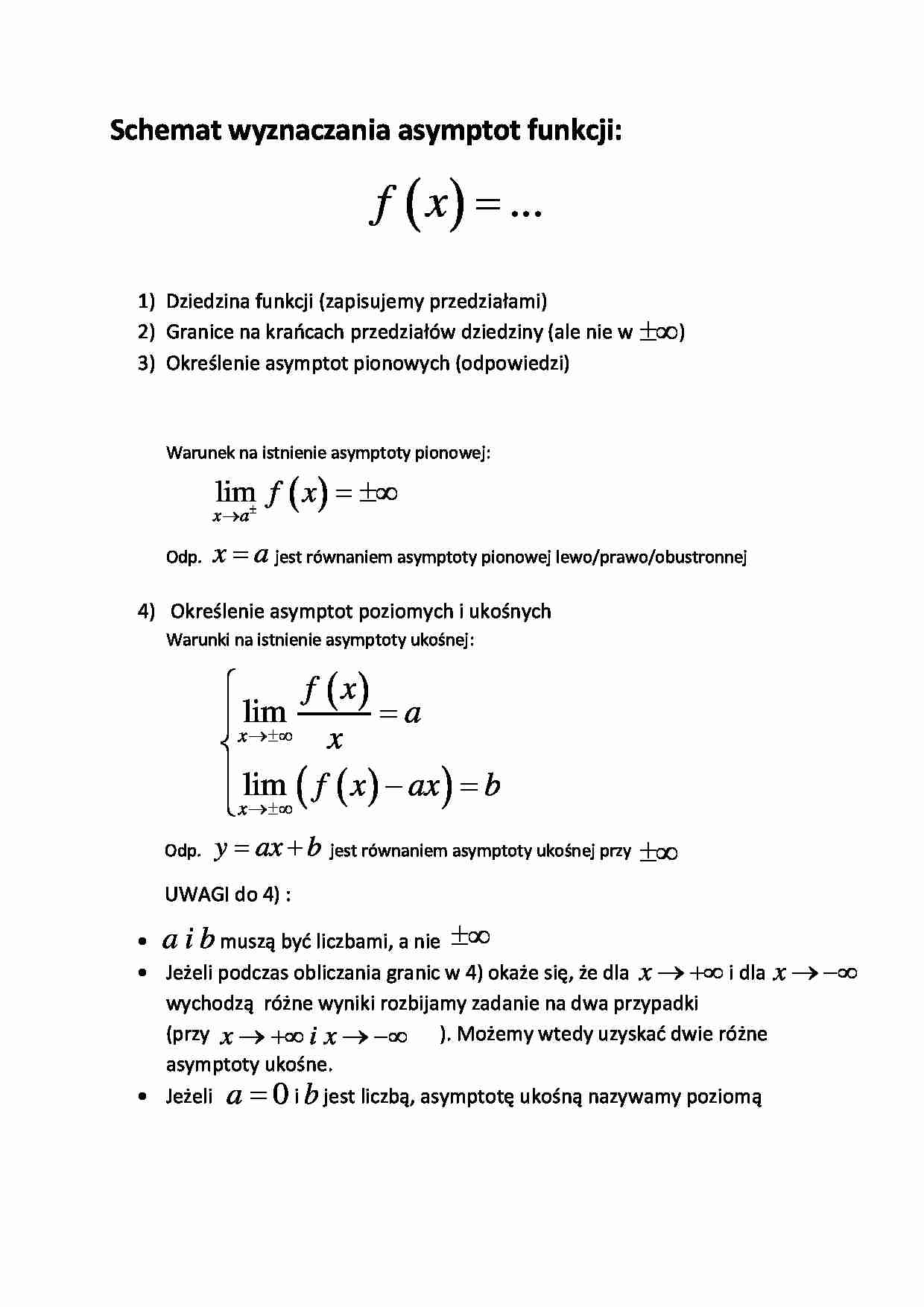
Schemat wyznaczania asymptot funkcji:      1)  Dziedzina funkcji (zapisujemy przedziałami)  2)  Granice na kraocach przedziałów dziedziny (ale nie w       )  3)  Określenie asymptot pionowych (odpowiedzi)    Warunek na istnienie asymptoty pionowej:        Odp.     jest równaniem asymptoty pionowej lewo/prawo/obustronnej    4)   Określenie asymptot poziomych i ukośnych  Warunki na istnienie asymptoty ukośnej:             Odp.       jest równaniem asymptoty ukośnej przy     UWAGI do 4) :               muszą byd liczbami, a nie     Jeżeli podczas obliczania granic w 4) okaże się, że dla           i dla   wychodzą  różne wyniki rozbijamy zadanie na dwa przypadki   (przy          ). Możemy wtedy uzyskad dwie różne  asymptoty ukośne.    Jeżeli       i     jest liczbą, asymptotę ukośną nazywamy poziomą    ... f x      lim x a f x           lim lim x x f x a x f x ax b           a i b  x a  y ax b    x    x    x i x     0 a   b ... zobacz całą notatkę



Komentarze użytkowników (0)

Zaloguj się, aby dodać komentarz