Rozwiązania na egzamin - DJ

Nasza ocena:

5
Pobrań: 112
Wyświetleń: 896
Komentarze: 0
Notatek.pl

Pobierz ten dokument za darmo

Podgląd dokumentu
Rozwiązania na egzamin - DJ - strona 1 Rozwiązania na egzamin - DJ - strona 2 Rozwiązania na egzamin - DJ - strona 3

Fragment notatki:

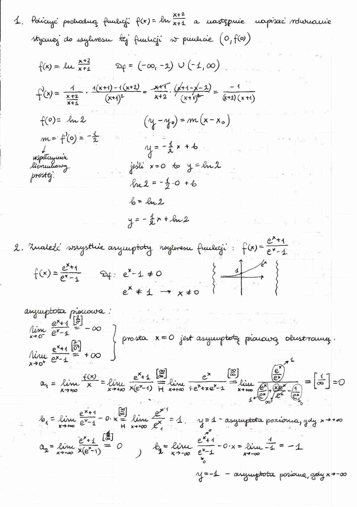
1...
fJ~~
po~
~.
eto ~
x+2.
~~
f(Ir)::' ~
Xt
f.w-L.c.AL ~
~.
.u.o..r"u.a
l1~e
3, Ko~~'\cC:-~"'~)-~
~+
-~I.\)(
-'-----.,;....---AIM. ----"-------"------
X" 0
11M.'" -)(
\1)coot
~' -1-
0
I;
)r
-'t 0
-
)(CQ:)t
- ~'~X
=-
[-~]
H
x
- ~~+1)
()(,'3):
- x' - "
:=
-;x.
t\{ -h1.)-+ B(t-2.) ~ 3
At1-:(A-\ Bt -:2.8 ::3
I\t"6::o
)..A - a.B
-7
A :-6
=- 3
-.:tB -:1..8 -=-3 \ Lt 8::; 3
-. ~ = -~ - ,t\::+~
1..,
-® ::~[4:' ; (~-~)]
",,',
c4
0 [
t: +~(~~1-,(...11o+'-1))[-
:: [{+~ (.e..-\~I) - (0+ ~~I;:;tl)] ~~
~±T
-~1i\1-+ f~
'
G.;{~
~~
~~~1f'
~
~:
A(:-11.} -fL I J.-)
B(-113/~)
c..(1, 0,
~
~
f ~
'1-.
f'x
{
I
~ ~;:
3(X+1.)f1.G-tL)-8(~-2)=O
~J
~~
= 2J'';} -~
f~
~O
~
2.
d + r. - t = 0
fLx}=-
f(xld)~
4. - '}~ ~
·f~)(.:
J
',i
f\r::: ~C~)~-+x~-t=O
.{J..
Xi
2..
T)(.
-':f=o
A ~ + )(4 -
I
21- .
f"dj " 0;]
/'
't
I).
t+~~d--Jtx-~J-
f'~J:::,2.)0
3-'{'2 ..
CUp.
FU~.
f~)t)O
~
~
8.
vfctLfi&t.i ~e
(O,-d.,
20)
. ,-(
f~=-
~'w-
~~
do ~
;t;
-1
)(2.-t1 --
1-td-~
-\
rz..~:i
rr) =- [O:L
1'-1
M'ad.- F· (O - i ~
,-
\/
\ ..'t
-
'1 ] .
'=
o;;~:r-
~cce
... zobacz całą notatkę



Komentarze użytkowników (0)

Zaloguj się, aby dodać komentarz