To tylko jedna z 7 stron tej notatki. Zaloguj się aby zobaczyć ten dokument.Zobacz
całą notatkę
Podgląd dokumentu
Fragment notatki:
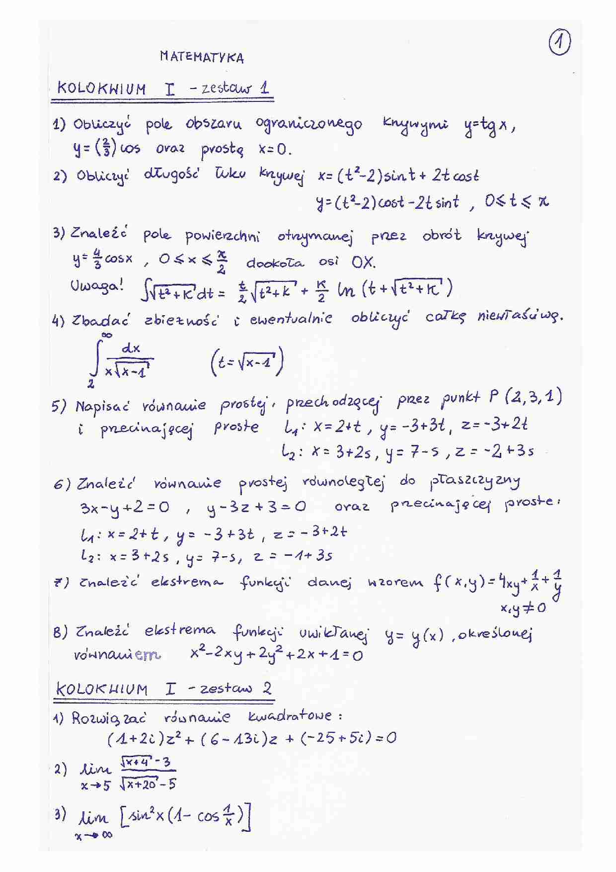
Notatka porusza między innymi zagadnienia takie jak: pole obszaru ograniczonego, badanie zbieżności, obliczanie całki niewłaściwej, równanie prostej równoległej do płaszczyzny, znajdywanie ekstremy funkcji uwikłanej.
... zobacz całą notatkę
Komentarze użytkowników (0)