Notatki z ćwiczeń 13

Nasza ocena:

3
Pobrań: 77
Wyświetleń: 1155
Komentarze: 0
Notatek.pl

Pobierz ten dokument za darmo

Podgląd dokumentu
Notatki z ćwiczeń 13 - strona 1 Notatki z ćwiczeń 13 - strona 2

Fragment notatki:

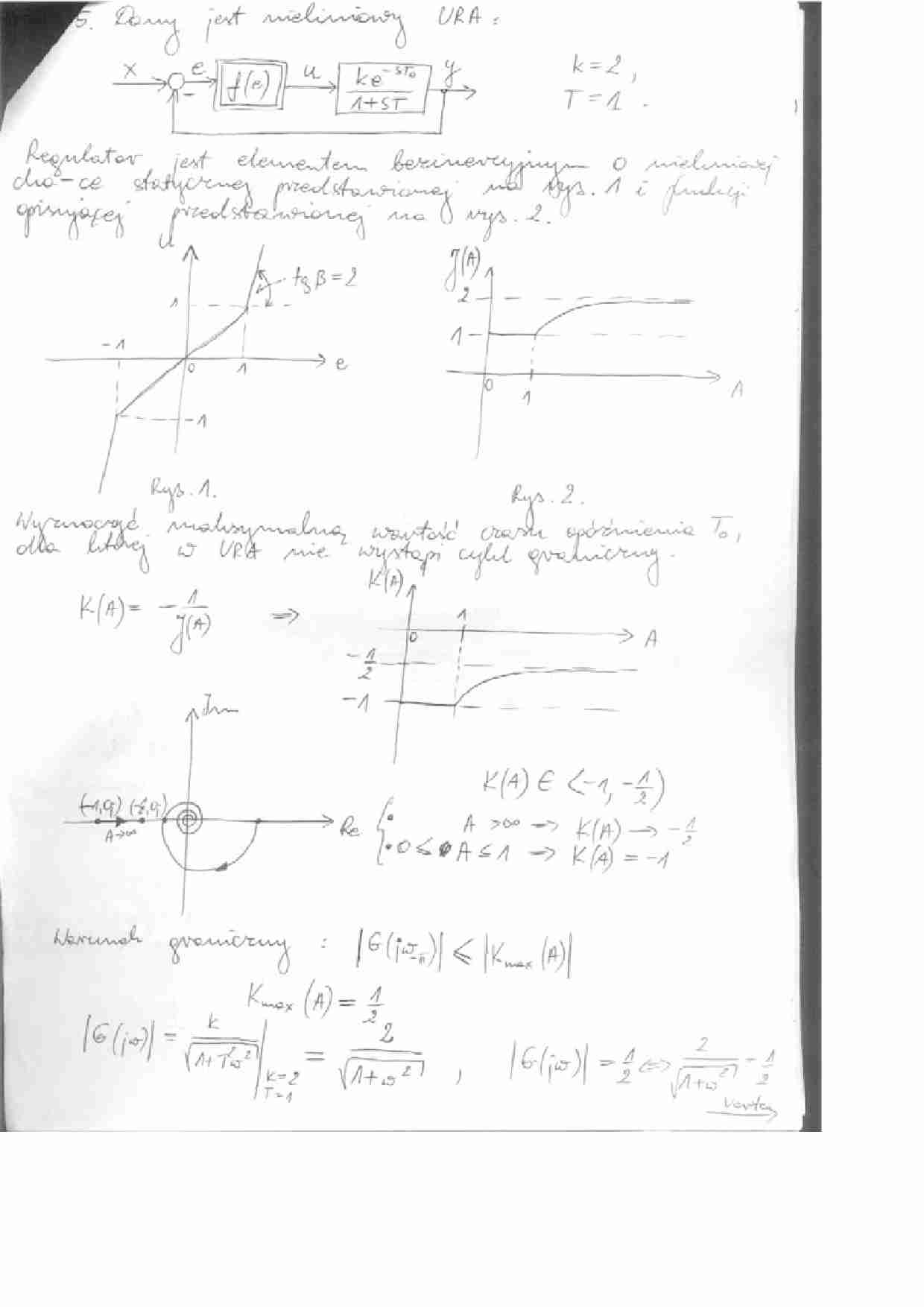
Notatka porusza między innymi zagadnienia takie jak: Zad. 5 Dany jest nieliniowy URA. Regulaor jest elementem bezinercyjnym o nieliniowe cha-ce statycznej przedstawionej na rys. 1 i funkcji opisującej przedstawionej na rys. 2. Wyznaczyć maksymalną wartość czasu opóźnienia dla której w URA nie wystąpi cykl graniczny, obliczenia. ... zobacz całą notatkę



Komentarze użytkowników (0)

Zaloguj się, aby dodać komentarz