Notatki z ćwiczeń 16

Nasza ocena:

3
Pobrań: 49
Wyświetleń: 1001
Komentarze: 0
Notatek.pl

Pobierz ten dokument za darmo

Podgląd dokumentu
Notatki z ćwiczeń 16 - strona 1 Notatki z ćwiczeń 16 - strona 2

Fragment notatki:

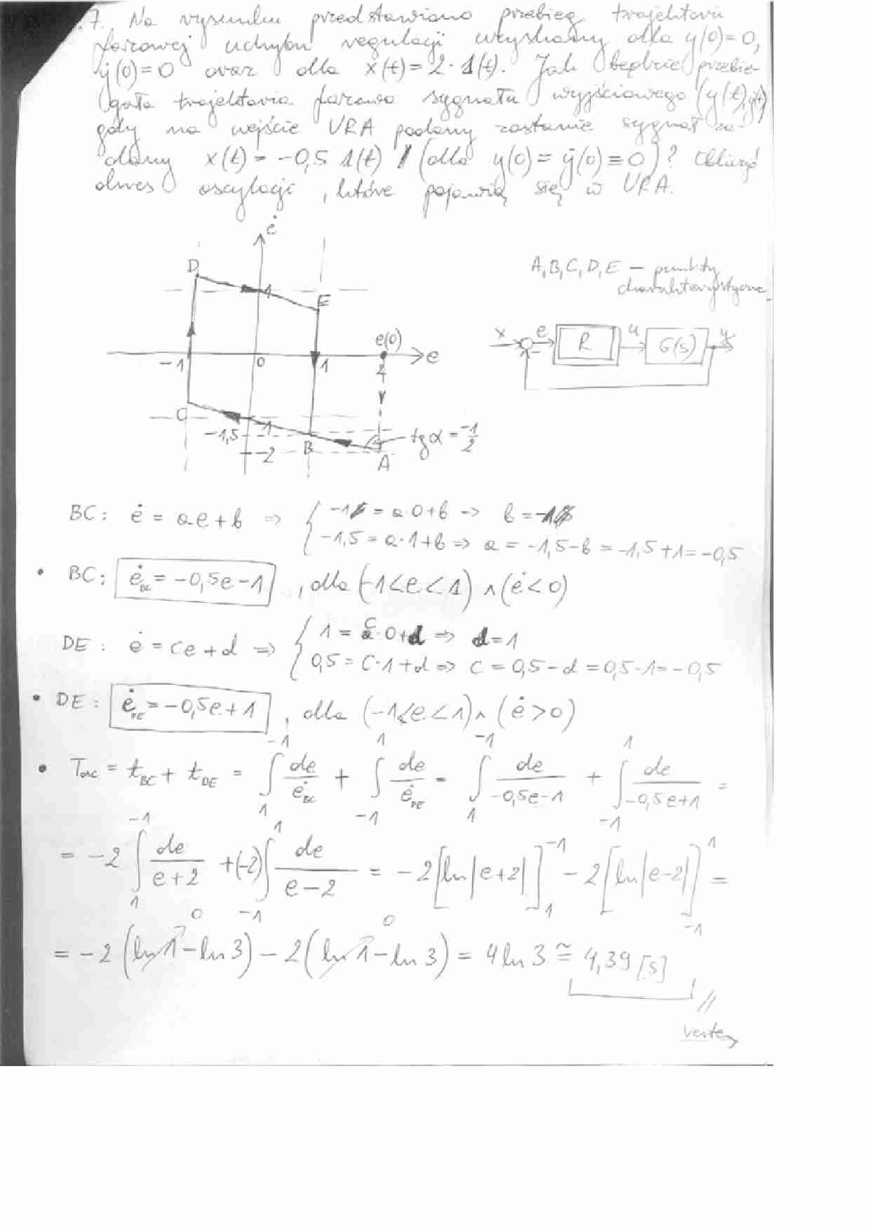
Notatka porusza między innymi zagadnienia takie jak: za.7 Na rys. przedstawiono przebieg trajektorii fazowej uchybu regulacji uzyskany dla X. Jak bedzie przebiegała trajektoria fazowa sygnały wyjściowego, gdy na wejście URA podany zostanie sygnał . Obliczyć okres oscylacji, które pojawią się w URA, obliczenia. ... zobacz całą notatkę



Komentarze użytkowników (0)

Zaloguj się, aby dodać komentarz