Notatki z ćwiczeń 10

Nasza ocena:

3
Pobrań: 35
Wyświetleń: 1106
Komentarze: 0
Notatek.pl

Pobierz ten dokument za darmo

Podgląd dokumentu
Notatki z ćwiczeń 10 - strona 1 Notatki z ćwiczeń 10 - strona 2

Fragment notatki:

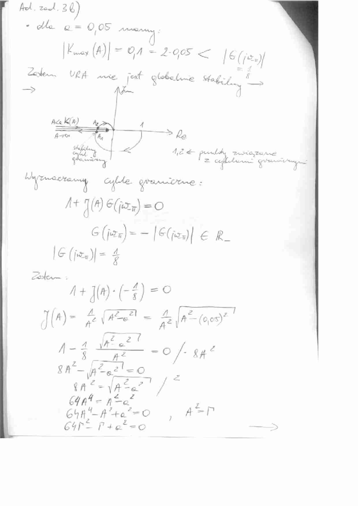
Notatka porusza między innymi zagadnienia takie jak: dalsze rozwiązanie zadania 3, globalność stabilna URY, wyznaczanie cykli granicznych, punkty związane z cyklami granicznymi, obliczenia. ... zobacz całą notatkę



Komentarze użytkowników (0)

Zaloguj się, aby dodać komentarz