Notatki z ćwiczeń 14

Nasza ocena:

3
Pobrań: 28
Wyświetleń: 1015
Komentarze: 0
Notatek.pl

Pobierz ten dokument za darmo

Podgląd dokumentu
Notatki z ćwiczeń 14 - strona 1 Notatki z ćwiczeń 14 - strona 2

Fragment notatki:

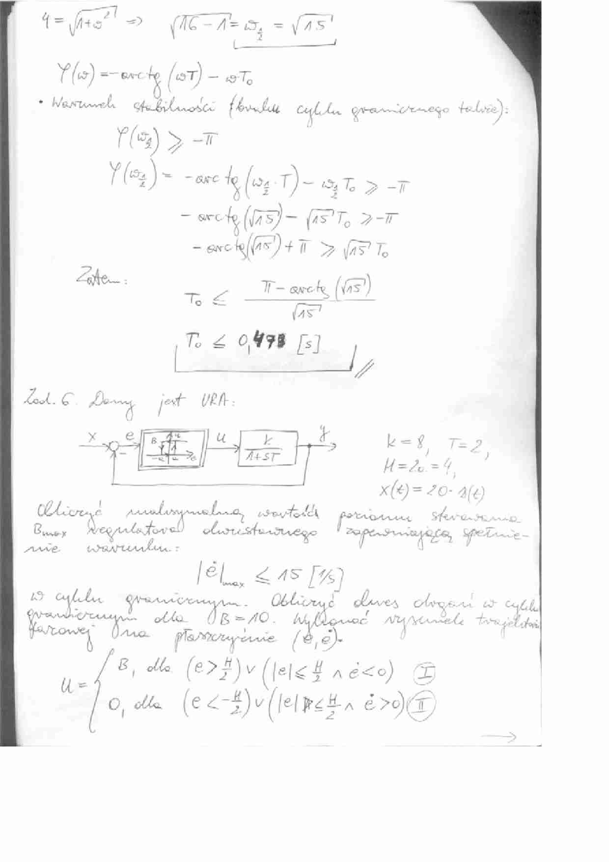
Notatka porusza między innymi zagadnienia takie jak: warunek stabilności, braku cyklu granicznego. Zad. 6 Obliczyć maksymalną wartość poziomu sterowania Bmax regulatora dwustawnego zapewniającą spełnienie warunku X w cyklu granicznym. Obliczyć okres drgań. ... zobacz całą notatkę



Komentarze użytkowników (0)

Zaloguj się, aby dodać komentarz