Matematyka - funkcje cyklometryczne

Nasza ocena:

3
Pobrań: 42
Wyświetleń: 819
Komentarze: 0
Notatek.pl

Pobierz ten dokument za darmo

Podgląd dokumentu
Matematyka - funkcje cyklometryczne - strona 1 Matematyka - funkcje cyklometryczne - strona 2 Matematyka - funkcje cyklometryczne - strona 3

Fragment notatki:


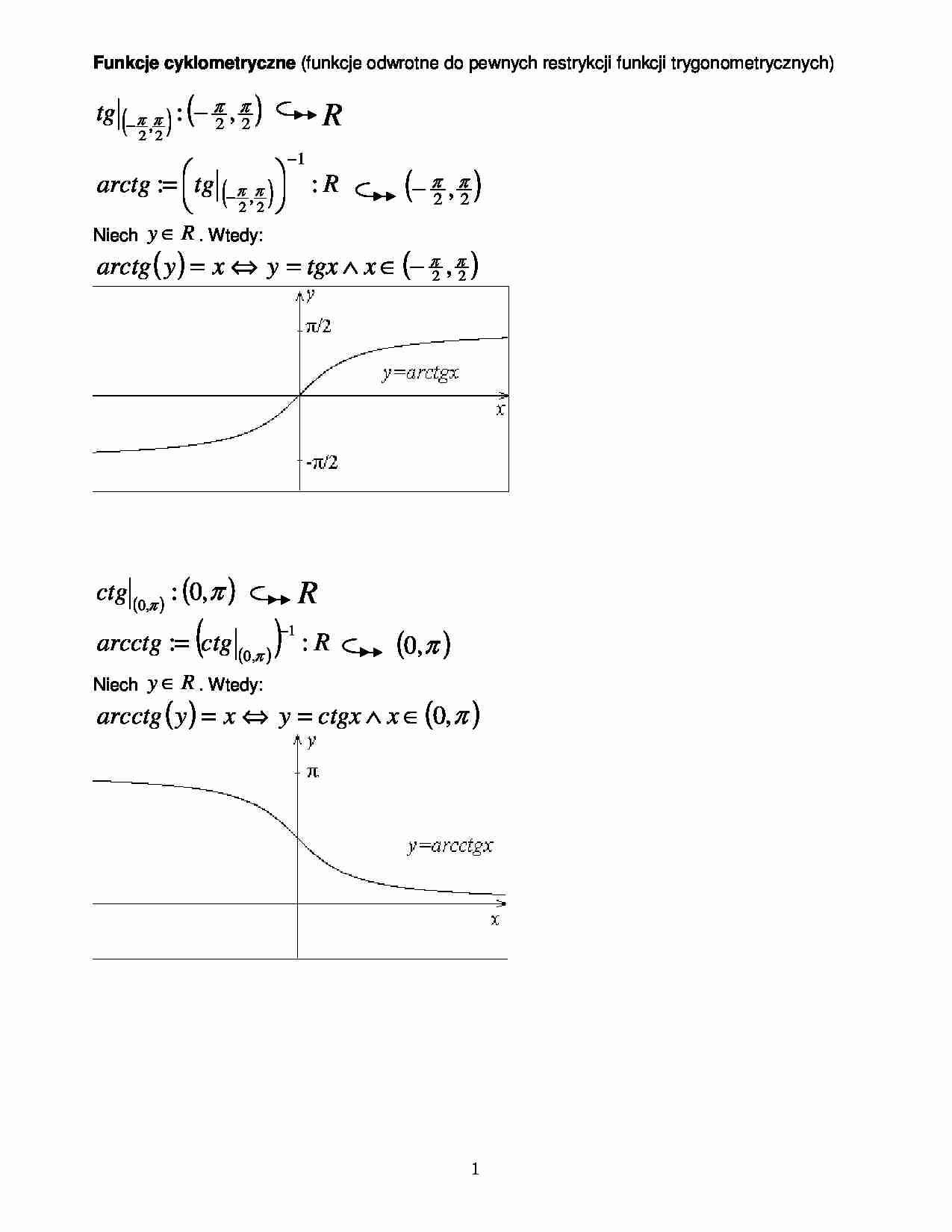
  1  Funkcje cyklometryczne  (funkcje odwrotne do pewnych restrykcji funkcji trygonometrycznych)    ( ) ( ) 2 2 , , : 2 2 π π π π − − tg             R    ( ) R tg arctg : : 1 , 2 2 − − = π π              ( ) 2 2 , π π −   Niech  R y ∈ . Wtedy:  ( ) ( ) 2 2 , π π − ∈ ∧ = ⇔ = x tgx y x y arctg             ( ) ( ) π π , 0 : , 0 tg c             R    ( ) ( )  R tg c arcctg : : 1 , 0 − = π              ( ) π , 0   Niech  R y ∈ . Wtedy:  ( ) ( ) π , 0 ∈ ∧ = ⇔ = x ctgx y x y arcctg                         2  [ ] [ ] 2 2 , , : sin 2 2 π π π π − −                [ ]1, 1 −    [ ] ( ) [ ]1,1 : sin : arcsin 1 , 2 2 − = − − π π              [ ] 2 2 , π π −   Niech  [ ]1 , 1 − ∈ y . Wtedy:  ( ) [ ] 2 2 , sin arcsin π π − ∈ ∧ = ⇔ = x x y x y           [ ] [ ] π π , 0 : cos , 0                [ ]1, 1 −    [ ] ( ) [ ]1, 1 : cos : arccos 1 , 0 − = − π              [ ] π , 0   Niech  [ ]1 , 1 − ∈ y . Wtedy:  ( ) [ ] π , 0 cos arccos ∈ ∧ = ⇔ = x x y x y                             3    Własno ci:  ( )  x tgx arctg = , je li  ( ) 2 2 , π π − ∈ x   ( )  y arctgy tg = , je li  R y ∈     ( )  x ctgx arcctg = , je li  ( ) π , 0 ∈ x   ( )  y arcctgy ctg = , je li  R y ∈     ( )  x x = sin arcsin , je li  [ ] 2 2 , π π − ∈ x   ( )  y y = arcsin sin , je li  [ ]1 , 1 − ∈ y     ( )  x x = cos arccos , je li  [ ] π , 0 ∈ x   ( )  y y = arccos cos , je li  [ ]1 , 1 − ∈ y                                                                         ... zobacz całą notatkę



Komentarze użytkowników (0)

Zaloguj się, aby dodać komentarz