Ekstrema globalne-opracowanie

Nasza ocena:

3
Pobrań: 77
Wyświetleń: 1239
Komentarze: 0
Notatek.pl

Pobierz ten dokument za darmo

Podgląd dokumentu
Ekstrema globalne-opracowanie - strona 1 Ekstrema globalne-opracowanie - strona 2 Ekstrema globalne-opracowanie - strona 3

Fragment notatki:

EKSTREMA GLOBALNE
Definicja
Niech
f : U  R , gdzie U  R n
oraz niech
P0 będzie pewnym punktem zbioru U, P0  U .
Wtedy
f P0  – wartość największa funkcji f :  P  U
f P0  – wartość najmniejsza funkcji f
:
 P U
f P   f P0 
f P   f P0 
Definicja
Funkcja f ma w P0 ekstremum globalne, jeśli f P0  jest wartością największą lub wartością
najmniejszą funkcji f.
Uwaga
Ekstremum lokalne może być ekstremum globalnym.
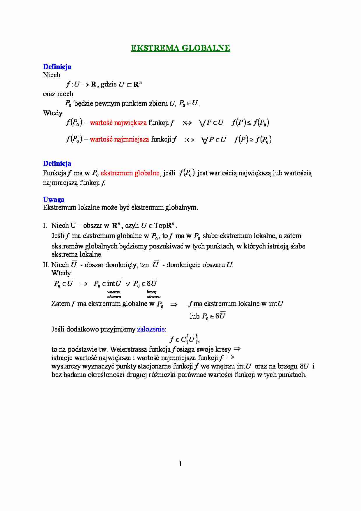
I. Niech U – obszar w R n , czyli U  TopR n .
Jeśli f ma ekstremum globalne w P0 , to f ma w P0 słabe ekstremum lokalne, a zatem
ekstremów globalnych będziemy poszukiwać w tych punktach, w których istnieją słabe
ekstrema lokalne.
II. Niech U - obszar domknięty, tzn. U - domknięcie obszaru U.
Wtedy
P0  U  P0  int U  P0   U
wnętrze
obszaru
brzeg
obszaru
Zatem f ma ekstremum globalne w P0

f ma ekstremum lokalne w int U
lub P0   U
Jeśli dodatkowo przyjmiemy założenie:
 
f C U ,
to na podstawie tw. Weierstrassa funkcja f osiąga swoje kresy 
istnieje wartość największa i wartość najmniejsza funkcji f 
wystarczy wyznaczyć punkty stacjonarne funkcji f we wnętrzu int U oraz na brzegu U i
bez badania określoności drugiej różniczki porównać wartości funkcji w tych punktach.
1
Przykład
2
2
Wyznaczyć ekstrema globalne funkcji f  x, y   x  y w obszarze domkniętym
D   x, y   R 2 : x 2  y 2  1


y
1
D
int D
1
x
f  C D    ekstremum globalne


I. Wyznaczamy punkty stacjonarne we wnętrzu obszaru int D  x, y   R 2 : x 2  y 2  1 .
Pochodne cząstkowe muszą być równe 0,
 f
 x  2 x  0
x  0

 
 P0 (0,0) - punkt stacjonarny, P0  U
 f
y  0
  2y  0
 y



2
2
2
II. Badamy brzeg obszaru D   x, y   R : x  y  1
2
2
2
2
Tworzymy funkcję Lagrange'a   x, y   x  y   x  y  1
Warunek konieczny dla funkcji Lagrange'a:
 
 x  0
P 0,1
1

P2 0,1
 

 0
P3 1,0
 y
x2  y 2  1
P4  1,0 


III. Porównujemy wartości funkcji w punktach P0 – P4 .


f P0   0
f P   f P2   1
1
f P3   f P4   1
Odp.
Funkcja osiąga wartość największą równą 1 w punktach P3 i P4 oraz wartość najmniejszą
równą -1 w punktach P oraz P2 .
1
2
Przykład
Aby wyznaczyć ekstrema globalne funkcji określonej w obszarze domkniętym D, którego
brzeg jest łamaną,
y
K1
M1
M2
K5
M5
K2
D
M3
K4
K3
x
M4
badamy:
I. int D
II. D  K1  K 2  K 3  K 4  K 5
Funkcję zacieśniamy do poszczególnych krzywych i badamy we wnętrzach tych krzywych
1) int K1
2) int K 2

5) intK 5
III. Badamy “brzeg brzegu” - wystarczy podać punkty wspólne krzywych K1 , , K 5 :
M 1 , , M 5
IV. Porównujemy wartości funkcji we wszystkich punktach wyznaczonych w częściach
I, II, III, i wybieramy te w których funkcja przyjmuje wartość największą lub najmniejszą.
opracował Mateusz Targosz
3
... zobacz całą notatkę



Komentarze użytkowników (0)

Zaloguj się, aby dodać komentarz