całkowanie funkcji trygonometrycznych

Nasza ocena:

5
Pobrań: 63
Wyświetleń: 1323
Komentarze: 0
Notatek.pl

Pobierz ten dokument za darmo

Podgląd dokumentu
całkowanie funkcji trygonometrycznych - strona 1 całkowanie funkcji trygonometrycznych - strona 2

Fragment notatki:


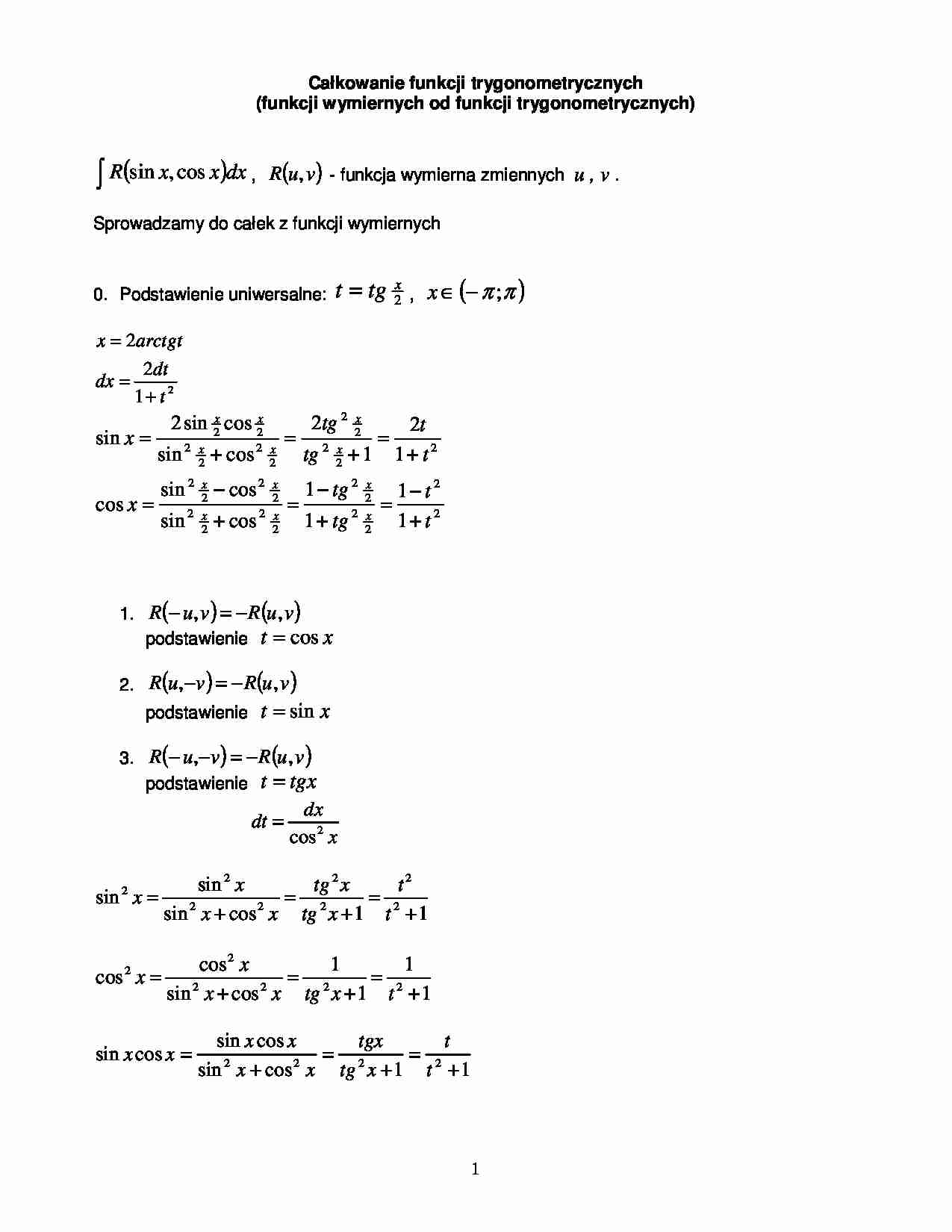
  1    Całkowanie funkcji trygonometrycznych   (funkcji wymiernych od funkcji trygonometrycznych)      ( ) dx x x R cos , sin ,   ( ) v u R  ,  - funkcja wymierna zmiennych   u , v  .    Sprowadzamy do całek z funkcji wymiernych      0.  Podstawienie uniwersalne:  2 x tg t = ,   ( ) π π; − ∈ x     2 1 2 2 t dt dx arctgt x + = =   2 2 2 2 2 2 2 2 2 2 2 2 2 2 2 2 2 2 2 2 2 2 2 2 2 1 1 1 1 cos sin cos sin cos 1 2 1 2 cos sin cos sin 2 sin t t tg tg x t t tg tg x x x x x x x x x x x x x + − = + − = + − = + = + = + =         1.  ( ) ( ) v u R v u R , , − = −   podstawienie   x t  cos =     2.  ( ) ( ) v u R v u R , , − = −   podstawienie   x t  sin =     3.  ( ) ( ) v u R v u R , , − = − −   podstawienie   tgx t =   x dx dt 2 cos =     1 1 cos sin sin sin 2 2 2 2 2 2 2 2 + = + = + = t t x tg x tg x x x x     1 1 1 1 cos sin cos cos 2 2 2 2 2 2 + = + = + = t x tg x x x x     1 1 cos sin cos sin cos sin 2 2 2 2 + = + = + = t t x tg tgx x x x x x x           2  Przykłady    1.  ( ) ( ) ( ) C x x t t t t dt t t t dt t dt x dx xdx dt x t v u R v u R v u R x dx u + + − = + − = + − − = + + − = = − = − − = − − − = − = = − = − = = 1 cos 1 cos ln 1 1 ln 1 ln 1 ln 1 1 1 1 cos 1 sin sin cos , , , sin 2 1 2 1 2 1 2 1 2 2 2 1     2.  ( ) ( ) ( ) ( ) ( ) C x x t t dt t t dt t t xdx dt x t v u R v u R v u v u R xdx x + − = − = = − = − = = = − = − = = 5 sin 3 sin 5 3 1 cos sin , , , cos sin 5 3 5 3 4 2 2 2 3 2 3 2     3.  ( ) ( ) ( ) ( ) ( ) C x tg x tg x tg tgx tgx x tg t t t t t t dt t t t t t dt t k dt t t k dt t t t t t dt t dt v u R v u R tgx t v u R x x dx k k k k x dx v u + − − − − + == + + − − − − = = + + + + + = ... zobacz całą notatkę



Komentarze użytkowników (0)

Zaloguj się, aby dodać komentarz