To tylko jedna z 2 stron tej notatki. Zaloguj się aby zobaczyć ten dokument.Zobacz
całą notatkę
Podgląd dokumentu
Fragment notatki:
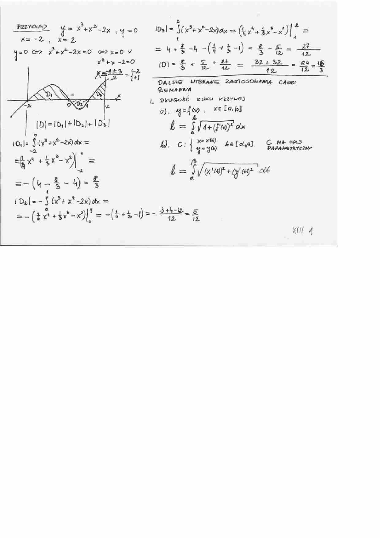
Notatka porusza między innymi zagadnienia takie jak: długość łuku krzywej, opis parametryczny, przykład, dalsze wybrane zastosowania całki riemanna.
... zobacz całą notatkę
Komentarze użytkowników (0)