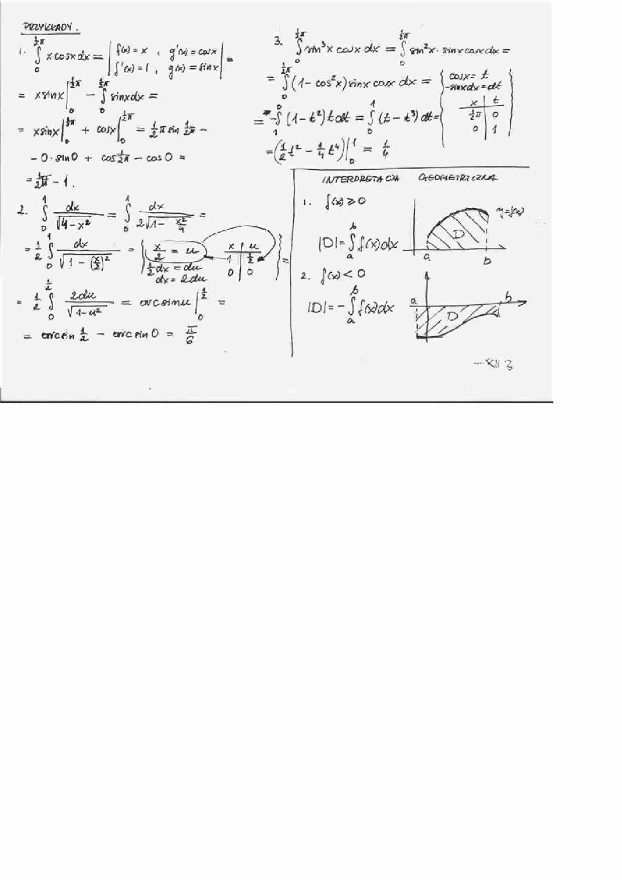
To tylko jedna z 2 stron tej notatki. Zaloguj się aby zobaczyć ten dokument. Zobacz całą notatkę Podgląd dokumentu Fragment notatki: Notatka porusza między innymi zagadnienia takie jak: Całka riemanna (całka oznaczona), przykłady, interpretacja geometryczna. ... zobacz całą notatkę Komentarze użytkowników (0) Zaloguj się, aby dodać komentarz
Komentarze użytkowników (0)