Zasada współmierności - omówienie (sem II)

Nasza ocena:

3
Pobrań: 322
Wyświetleń: 1344
Komentarze: 0
Notatek.pl

Pobierz ten dokument za darmo

Podgląd dokumentu
Zasada współmierności - omówienie (sem II) - strona 1 Zasada współmierności - omówienie (sem II) - strona 2 Zasada współmierności - omówienie (sem II) - strona 3

Fragment notatki:

Zasady rachunkowości - przykłady
I. ZASADA WSPÓŁMIERNOŚCI
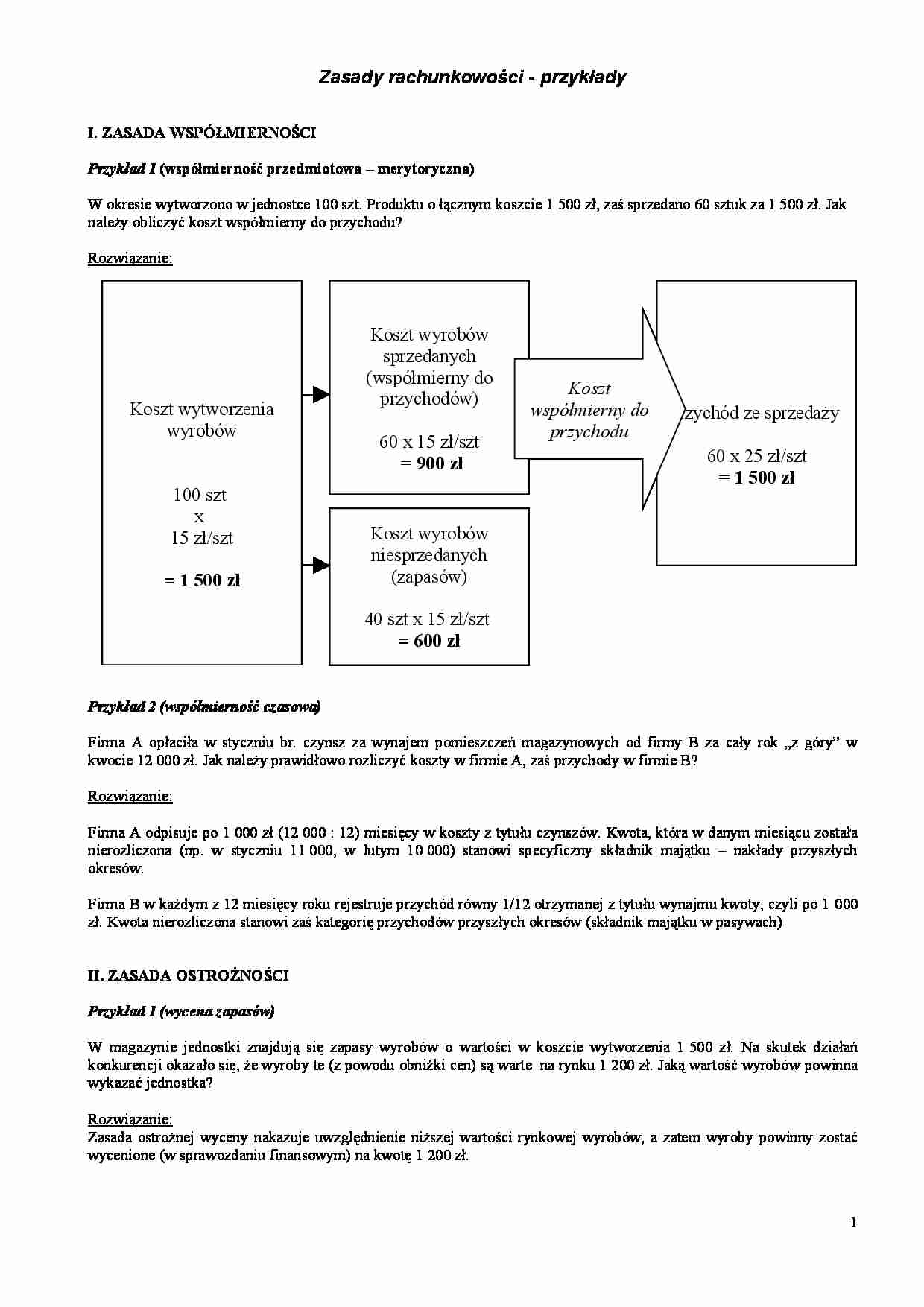
Przykład 1 (współmierność przedmiotowa – merytoryczna)
W okresie wytworzono w jednostce 100 szt. Produktu o łącznym koszcie 1 500 zł, zaś sprzedano 60 sztuk za 1 500 zł. Jak
należy obliczyć koszt współmierny do przychodu?
Rozwiązanie:
Koszt wytworzenia
wyrobów
100 szt
x
15 zł/szt
= 1 500 zł
Koszt wyrobów
sprzedanych
(współmierny do
przychodów)
60 x 15 zł/szt
= 900 zł
Koszt
współmierny do
przychodu
Przychód ze sprzedaży
60 x 25 zł/szt
= 1 500 zł
Koszt wyrobów
niesprzedanych
(zapasów)
40 szt x 15 zł/szt
= 600 zł
Przykład 2 (współmierność czasowa)
Firma A opłaciła w styczniu br. czynsz za wynajem pomieszczeń magazynowych od firmy B za cały rok „z góry” w
kwocie 12 000 zł. Jak należy prawidłowo rozliczyć koszty w firmie A, zaś przychody w firmie B?
Rozwiązanie:
Firma A odpisuje po 1 000 zł (12 000 : 12) miesięcy w koszty z tytułu czynszów. Kwota, która w danym miesiącu została
nierozliczona (np. w styczniu 11 000, w lutym 10 000) stanowi specyficzny składnik majątku – nakłady przyszłych
okresów.
Firma B w każdym z 12 miesięcy roku rejestruje przychód równy 1/12 otrzymanej z tytułu wynajmu kwoty, czyli po 1 000
zł. Kwota nierozliczona stanowi zaś kategorię przychodów przyszłych okresów (składnik majątku w pasywach)
II. ZASADA OSTROŻNOŚCI
Przykład 1 (wycena zapasów)
W magazynie jednostki znajdują się zapasy wyrobów o wartości w koszcie wytworzenia 1 500 zł. Na skutek działań
konkurencji okazało się, że wyroby te (z powodu obniżki cen) są warte na rynku 1 200 zł. Jaką wartość wyrobów powinna
wykazać jednostka?
Rozwiązanie:
Zasada ostrożnej wyceny nakazuje uwzględnienie niższej wartości rynkowej wyrobów, a zatem wyroby powinny zostać
wycenione (w sprawozdaniu finansowym) na kwotę 1 200 zł.
1
Jak należy postąpić, gdyby cena rynkowa tych samych wyrobów była w tym momencie wyższa?
W takiej sytuacji nie podwyższa się wyceny wyrobów w jednostce, wykazując je według kosztu wytworzenia 1 500 zł.
Przykład 2 (wycena należności)
Z odbiorcą N firma ma należność o wartości w kwocie 5 000 zł. Istnieją jednak uzasadnione obawa, że części tej
należności w kwocie 500 zł nie uda się wyegzekwować.
Jak należy wycenić należność w sprawozdaniu finansowym?
Rozwiązanie:
W sprawozdaniu zostaną wykazane należności w kwocie 4 500 zł (5 000 – 500)
III. ZASADA ZAKAZU KOMPENSAT
Przykład 1 (rozrachunki)
Na koniec okresu sprawozdawczego jednostka wykazuje w ewidencji należności od odbiorców w kwocie 1 000 zł oraz
zobowiązania wobec dostawców w kwocie 800 zł.
Jakie rozrachunki i w jakich kwotach powinny być wykazane w sprawozdaniu?
Rozwiązanie:
Nie można wykazać należności w kwocie nadwyżki należności nad zobowiązaniami, czyli 200 zł, bo oznaczałoby to, że
nastąpiła kompensata zobowiązań należnościami.
Należy wykazać pełny obraz rozrachunków, czyli oddzielnie należności w kwocie 1 000 zł a oddzielnie zobowiązania w
kwocie 800 zł.
Przykład 2 (przychody i koszty)
Jednostka handlowa zrealizowała w danym okresie przychody ze sprzedaży towarów w wartościach 7 000 zł. Za powyższe
towary musiała zapłacić dostawcy cenę nabycia 5 500 zł, Czy jednostka może wykazać jedynie sam wynik tej
transakcji(zrealizowaną marżę)?
Rozwiązanie:
W sprawozdaniu należy wykazać oddzielnie przychody (7 000 zł), zaś oddzielnie wartość towarów w cenie nabycia (5 500
zł), stanowiącą koszt. Wykazywanie jedynie marży zaciemniałoby obraz sytuacji.
2
3
... zobacz całą notatkę



Komentarze użytkowników (0)

Zaloguj się, aby dodać komentarz