Zależności napięciowo-prądowe w dziedzinach czasowej i częstotliwościowej - omówienie

Nasza ocena:

3
Pobrań: 91
Wyświetleń: 896
Komentarze: 0
Notatek.pl

Pobierz ten dokument za darmo

Podgląd dokumentu
Zależności napięciowo-prądowe w dziedzinach czasowej i częstotliwościowej - omówienie - strona 1 Zależności napięciowo-prądowe w dziedzinach czasowej i częstotliwościowej - omówienie - strona 2

Fragment notatki:

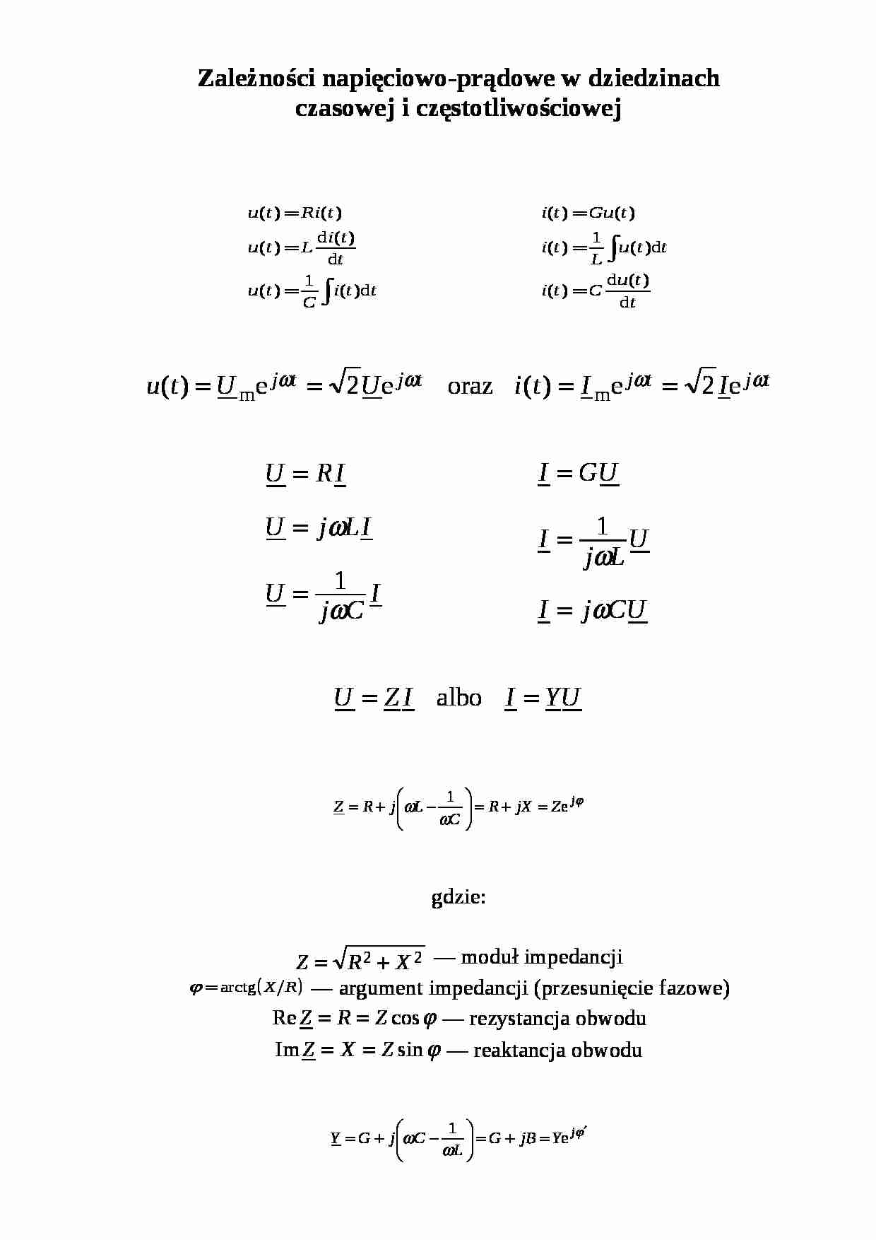
Zależności napięciowo-prądowe w dziedzinach czasowej i częstotliwościowej
gdzie:
— moduł impedancji
— argument impedancji (przesunięcie fazowe)
— rezystancja obwodu
— reaktancja obwodu
gdzie:
— moduł admitancji
— argument admitancji (przesunięcie fazowe)
konduktancja obwodu
susceptancja obwodu
... zobacz całą notatkę



Komentarze użytkowników (0)

Zaloguj się, aby dodać komentarz