Zadanie na egzaminie

Nasza ocena:

5
Pobrań: 231
Wyświetleń: 1463
Komentarze: 0
Notatek.pl

Pobierz ten dokument za darmo

Podgląd dokumentu
Zadanie na egzaminie - strona 1 Zadanie na egzaminie - strona 2

Fragment notatki:

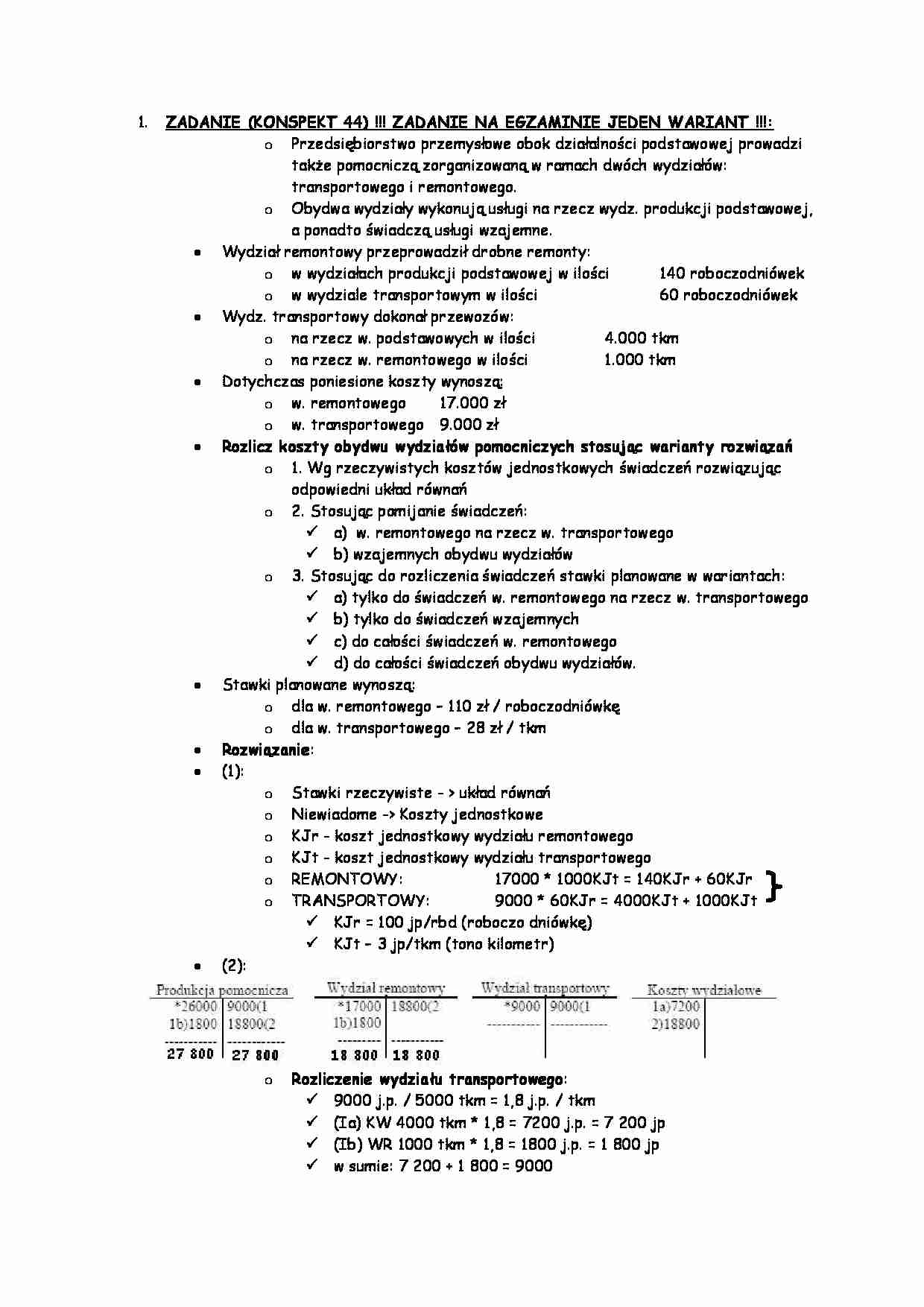
ZADANIE (KONSPEKT 44) !!! ZADANIE NA EGZAMINIE JEDEN WARIANT !!!: Przedsiębiorstwo przemysłowe obok działalności podstawowej prowadzi także pomocniczą zorganizowaną w ramach dwóch wydziałów: transportowego i remontowego.
Obydwa wydziały wykonują usługi na rzecz wydz. produkcji podstawowej, a ponadto świadczą usługi wzajemne.
Wydział remontowy przeprowadził drobne remonty:
w wydziałach produkcji podstawowej w ilości 140 roboczodniówek
w wydziale transportowym w ilości 60 roboczodniówek
Wydz. transportowy dokonał przewozów:
na rzecz w. podstawowych w ilości 4.000 tkm
na rzecz w. remontowego w ilości 1.000 tkm
Dotychczas poniesione koszty wynoszą:
w. remontowego 17.000 zł
w. transportowego 9.000 zł Rozlicz koszty obydwu wydziałów pomocniczych stosując warianty rozwiązań 1. Wg rzeczywistych kosztów jednostkowych świadczeń rozwiązując odpowiedni układ równań
2. Stosując pomijanie świadczeń:
a) w. remontowego na rzecz w. transportowego
b) wzajemnych obydwu wydziałów
3. Stosując do rozliczenia świadczeń stawki planowane w wariantach:
a) tylko do świadczeń w. remontowego na rzecz w. transportowego
b) tylko do świadczeń wzajemnych c) do całości świadczeń w. remontowego
d) do całości świadczeń obydwu wydziałów.
Stawki planowane wynoszą:
dla w. remontowego - 110 zł / roboczodniówkę
dla w. transportowego - 28 zł / tkm Rozwiązanie :
(1):
Stawki rzeczywiste - układ równań
Niewiadome - Koszty jednostkowe
KJr - koszt jednostkowy wydziału remontowego
KJt - koszt jednostkowy wydziału transportowego
REMONTOWY: 17000 * 1000KJt = 140KJr + 60KJr TRANSPORTOWY: 9000 * 60KJr = 4000KJt + 1000KJt KJr = 100 jp/rbd (roboczo dniówkę)
KJt - 3 jp/tkm (tono kilometr)
(2):
Rozliczenie wydziału transportowego :
9000 j.p. / 5000 tkm = 1,8 j.p. / tkm
(Ia) KW 4000 tkm * 1,8 = 7200 j.p. = 7 200 jp
(Ib) WR 1000 tkm * 1,8 = 1800 j.p. = 1 800 jp
w sumie: 7 200 + 1 800 = 9000 Rozliczenie wydziału remontowego :
18 800 jp  KW
WI - 1 000 rbd
WII - 40 rbd
18 800 jp / 140 rbh = 134,28 jp / Brd
(2a) WI - 100 rbd * 134,28 = 13 428
(2b) WII - 40 rbd * 134,28 = 5 372
Suma: 18 800
Komentarz 1 : Gdy dane zawarte w równaniu dotyczą kosztów rzeczywistych to koszt jednostkowy jest wykorzystany do sporządzenia rozdzielników kosztów i zaksięgowania ich. Komentarz 2 : Jeśli dane dotyczą kosztów budżetowanych to wykorzystanie obliczonych kosztów jednostkowych jest nieco inne. Rozdzielniki kosztów stanowią pierwszą, wstępną podstawę do rozliczenia (kosztów) wydziałów następnie na podstawie ustalonych na kontach wydziałów różnic miedzy stroną debet i kredyt oblicza się wskaźniki narzutu odchyleń.
... zobacz całą notatkę



Komentarze użytkowników (0)

Zaloguj się, aby dodać komentarz