Zadania ze statystyki matematycznej

Nasza ocena:

3
Pobrań: 329
Wyświetleń: 2506
Komentarze: 0
Notatek.pl

Pobierz ten dokument za darmo

Podgląd dokumentu
Zadania ze statystyki matematycznej - strona 1 Zadania ze statystyki matematycznej - strona 2 Zadania ze statystyki matematycznej - strona 3

Fragment notatki:

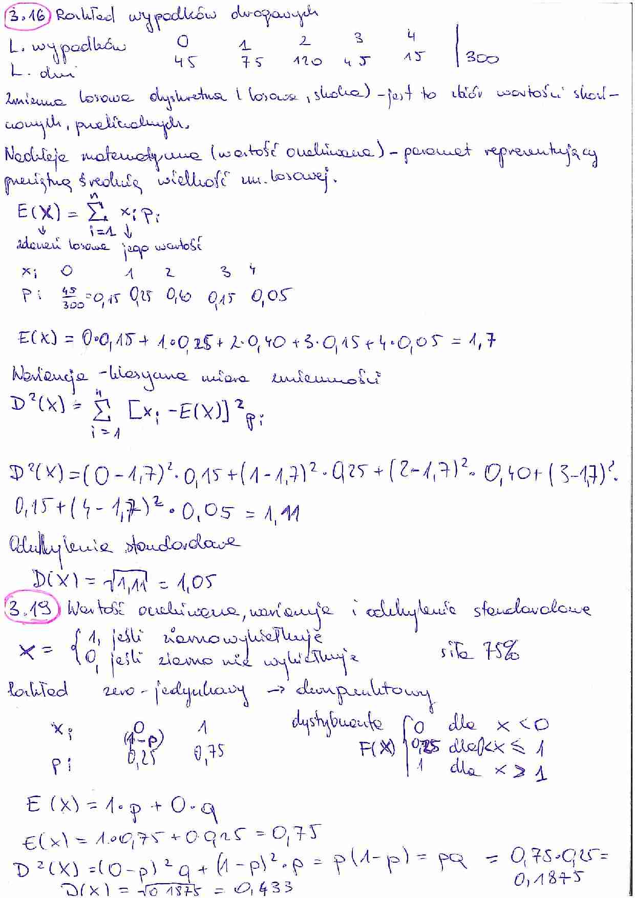
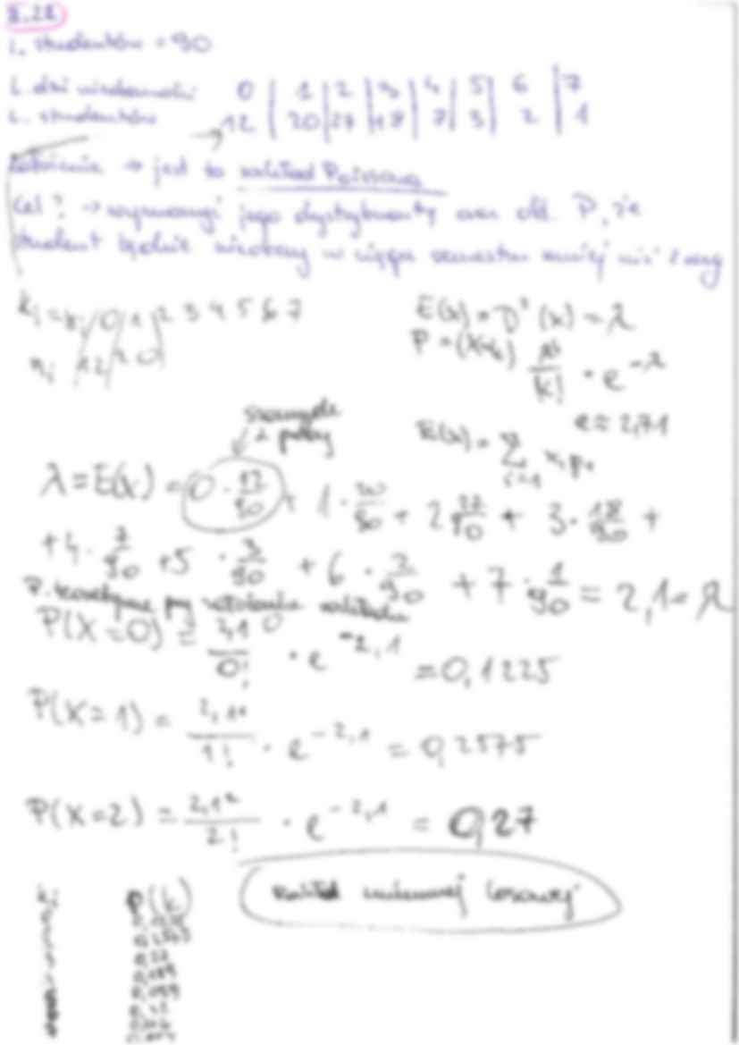
Notatka porusza między innymi zagadnienia takie jak: rozkład wypadków drogowych, wariancja, odchylenie standardowe, rozkład Poissona, rozkład zmiennej losowej. ... zobacz całą notatkę



Komentarze użytkowników (0)

Zaloguj się, aby dodać komentarz