Zadania z probalistyki i statystyki 11

Nasza ocena:

3
Wyświetleń: 434
Komentarze: 0
Notatek.pl

Pobierz ten dokument za darmo

Podgląd dokumentu
Zadania z probalistyki i statystyki 11 - strona 1 Zadania z probalistyki i statystyki 11 - strona 2

Fragment notatki:

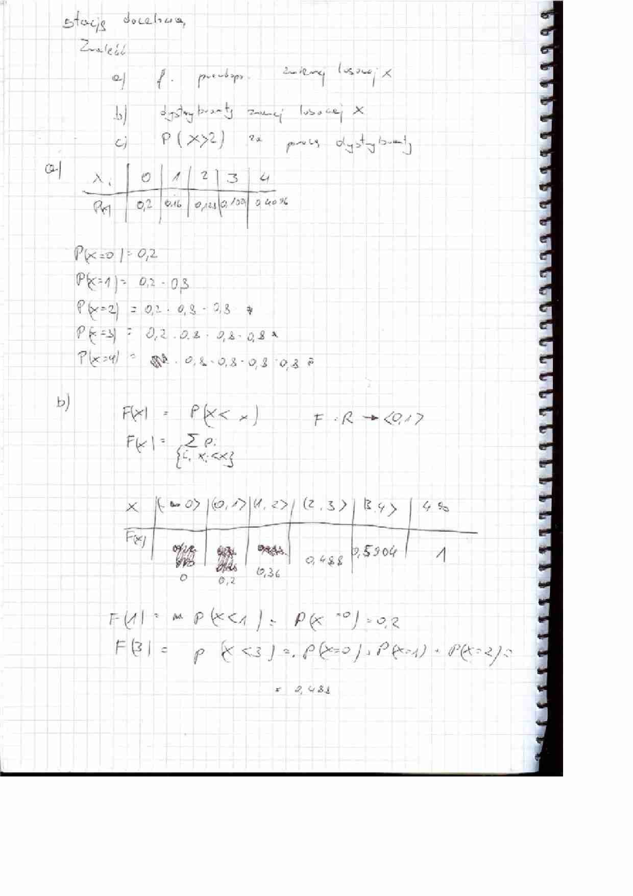
Notatka zawiera materiały z przedmiotu: Probalistyka i statystyka.
Uczelnia, z której pochodzi notatka to . Zajęcia prowadzi dr Magdalena Szymkowiak. Notatka składa się z 1 stron. Notatka porusza między innymi zagadnienia takie jak: obliczanie zadań dotyczących prawdopodobieństwa oraz zmiennych.
... zobacz całą notatkę



Komentarze użytkowników (0)

Zaloguj się, aby dodać komentarz