Zadania 3PKT 3

Nasza ocena:

3
Pobrań: 7
Wyświetleń: 833
Komentarze: 0
Notatek.pl

Pobierz ten dokument za darmo

Podgląd dokumentu
Zadania 3PKT 3 - strona 1 Zadania 3PKT 3 - strona 2 Zadania 3PKT 3 - strona 3

Fragment notatki:


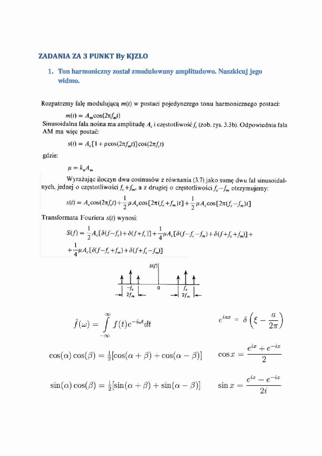
ZADANIA ZA 3 PUNKT By KJZLO  1.  Ton harmoniczny został zmodulowany amplitudowo. Naszkicuj jego  widmo.      2.  Dana jest sekwencja binarna. Dokonaj kwantyzacji zgodnie z europejskim  standardem G.711. Otrzymaną sekwencję podziel na bloki o długości xx  bitów i zapisz w kodzie Gray’a.        3.  Binarna sekwencja została podana na układ konwersji szybkości  próbkowania. Podaj sygnał wyjściowy w kodzie (np. NRZI,  Manchester,2B1Q).    4.  Zakoduj podaną sekwencję w kodzie HDB3, AMI i 4B3T      5.  Dla podanej sekwencji binarnej naszkicuj sygnał BPSK, QPSK,   BPSK  - proste odwrócenie fazy o QPSK  - czterofazowy QPSK koduje znak 2bitami. Spójrz na wykres wskazowy z kodem Graya.   Sekwencję bitów: 1 1 0 0 0 1 1 0 dzielimy na:   nieparzyste, in-phase component(I):    parzyste, quadrature-phase compo   i rozpatrujemy je osobno. Dla I fal   Sumując I i Q otrzymujemy QPSK.     π  / 4–QPSK    Tutaj jest podobnie jak w zwykłym QPSK. Z tą różnicą, że parzyste znaki (pary bitów) są przesunięte  o 450.  Można zauważyć, że amplituda dwóch sąsiednich bitów parzystych (nieparzystych) jest różna,   ale całkowita amplituda (po sumacji) pozostaje stała. Dla podanej sekwencji binarnej naszkicuj sygnał BPSK, QPSK, odwrócenie fazy o 180 0 dla 1.  czterofazowy QPSK koduje znak 2bitami. Spójrz na wykres wskazowy z kodem Graya.  bitów: 1 1 0 0 0 1 1 0 dzielimy na:  phase component(I):  1  1  0  0  0  1  1  0  phase component(Q): 1  1  0  0  0  1  1  0   i rozpatrujemy je osobno. Dla I falą nośną jest cos,a dla Q sin.  c I i Q otrzymujemy QPSK.  Tutaj jest podobnie jak w zwykłym QPSK. Z tą różnicą, że parzyste znaki (pary bitów) są przesunięte  o 450.  Można zauważyć, że amplituda dwóch sąsiednich bitów parzystych (nieparzystych) jest różna,  ale całkowita amplituda (po sumacji) pozostaje stała.  Dla podanej sekwencji binarnej naszkicuj sygnał BPSK, QPSK,  -QPSK.     czterofazowy QPSK koduje znak 2bitami. Spójrz na wykres wskazowy z kodem Graya.     Tutaj jest podobnie jak w zwykłym QPSK. Z tą różnicą, że parzyste znaki (pary bitów) są przesunięte  o 450.  Można zauważyć, że amplituda dwóch sąsiednich bitów parzystych (nieparzystych) jest różna, 6.  Dla danego dyskretnego ź prawdopodobieństwami wyznacz entropi Dla takiego uogólnienia utwórz kod Huffmana. Wyznacz entropi długość kodu oraz efektywno   Dla danego dyskretnego źródła bez pamięci o alfabecie źródłowym z 

(…)

… MHz w GSM 900. Ilu abonentów może posiadać operator
sieci komórkowej na obu obszarach łącznie pokazanych na rysunku (uwzględniamy wszystkie
ponumerowane komórki). Zakładamy że ruch generowany przez jednego abonenta wynosi
0,01 Erl. Zakres częstotliwości dla GSM900 890-915MHz (uplink), 935-960 (downlink).
Rozmiar kanału FDMA wynosi 200KHz. Liczba szczelin czasowych FDMA wynosi 8.
12MHZ/200kHZ * 8…
… (rysunek). Narysuj wykres
kratowy i zdekoduj następującą informację (sekwencja).
08. Uzupełnij tabelę kodowania LZ77
dla podanej sekwencji.
YAAABAAADAAABAAADOOOO
09. Dla podanego klucza dokonaj szyfracji/deszyfracji słowa metodą Playfair/
Vigenère.
Vigenère
10. Dla podanego kodu (liter) dokonaj deszyfracji podstawieniowej z iloczynem,
mając dane przesunięcie k oraz alfabet n. Zastosuj algorytm Euklidesa do
obliczenia k-1
k*k-1 - t*n = 1
11. Wyznacz macierz generującą i macierz parzystości dla słowa kodowego.
Zdekoduj informację z odebranego słowa kodowego korzystając z tablicy
dekodowania.
Tablica dekodowania (6,3,3) => n=6 k=3 d=3
Słowo kodowe = 6, 3, 3
X = [ x1 x2 x3 x4 x5 x6 ] = [ m1 m2 m3 p1 p2 p3 ]
p1 = m1 + m2
p2 = m2 + m3
p3 = m1 + m2 + m3
macierz generująca
macierz parzystości
zakładamy sekwencje m…
… pozostaje pasmo 2x4,5 MHz dla transmisji duplexowej metodą
podziału częstotliwości (FDMA). Szerokość pasma pojedynczego kanału wynosi 25 KHz.
System charakteryzuje się poziomem obsługi 2%. Prawdopodobieństwo = 0,02. Ruch
oferowany przez statystycznego abonenta wynosi 0,03 erl. Abonent zajmuje średnio kanał
przez 3 minuty w przedziale o długości 100 sekund tzn. 1,76 minut w ciągu godziny.
a) wyznacz liczbę…
... zobacz całą notatkę



Komentarze użytkowników (0)

Zaloguj się, aby dodać komentarz