Zabezpieczenia transmisji

Nasza ocena:

3
Pobrań: 378
Wyświetleń: 1428
Komentarze: 0
Notatek.pl

Pobierz ten dokument za darmo

Podgląd dokumentu
Zabezpieczenia transmisji - strona 1 Zabezpieczenia transmisji - strona 2 Zabezpieczenia transmisji - strona 3

Fragment notatki:

Zygmunt Kubiak. Notatka składa się z 16 stron.
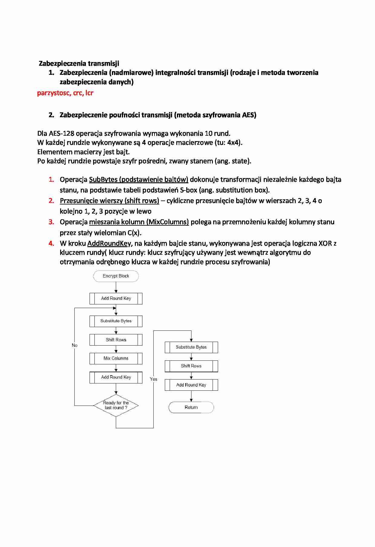
Zabezpieczenia transmisji Zabezpieczenia (nadmiarowe) integralności transmisji (rodzaje i metoda tworzenia zabezpieczenia danych) parzystosc, crc, lcr Zabezpieczenie poufności transmisji (metoda szyfrowania AES) Dla AES-128 operacja szyfrowania wymaga wykonania 10 rund. W każdej rundzie wykonywane są 4 operacje macierzowe (tu: 4x4). Elementem macierzy jest bajt. Po każdej rundzie powstaje szyfr pośredni, zwany stanem (ang. state). Operacja SubBytes (podstawienie bajtów) dokonuje transformacji niezależnie każdego bajta stanu, na podstawie tabeli podstawień S-box (ang. substitution box). Przesunięcie wierszy (shift rows) - cykliczne przesunięcie bajtów w wierszach 2, 3, 4 o kolejno 1, 2, 3 pozycje w lewo
Operacja mieszania kolumn (MixColumns) polega na przemnożeniu każdej kolumny stanu przez stały wielomian C(x). W kroku AddRoundKe y, na każdym bajcie stanu, wykonywana jest operacja logiczna XOR z kluczem rundy( klucz rundy: klucz szyfrujący używany jest wewnątrz algorytmu do otrzymania odrębnego klucza w każdej rundzie procesu szyfrowania)
Dekodowanie:
Sieci systemów mikrokomputerowych (warstwa fizyczna i ogólna zasada wymiany danych) Interfejs I2C Magistrala I2C (ang. Inter IC) opracowana została na początku lat 80-tych w firmie Philips jako lokalny synchroniczny interfejs szeregowy (początkowo dla sprzętu audio-wizualnego), służący do wymiany danych pomiędzy układami scalonymi danego systemu. Magistrala I2C składa się z dwóch linii sygnałowych : SDA (serial data) -do przesyłania danych i SCL (serial clock) -do przesyłania sygnału taktującego, oraz linii masy. Obydwie linie magistrali I2C są liniami dwukierunkowymi. Dzięki przemyślanej konstrukcji magistrali I2C może być do niej podłączonych wiele układów.
Dzięki zastosowaniu tranzystorów z otwartym drenem w stopniu wyjściowym („iloczyn na drucie”) możliwe jest podłączenie do magistrali kilku i więcej układów komunikujących się ze sobą po szynie I2C. Obwody sterujące liniami SCL i SDA maja taka samą budowę i są przystosowane do pracy dwukierunkowej. Rezystory Rp są niezbędne.
Transmisja bitów -„0” jest sygnałem dominującym który wymusza stan linii
Potwierdzenie transmisji bajta - potwierdza zawsze odbiorca (9-ty bit 0 - sygnał „0”)
Transmisja danych do modułu Slave Odczyt danych z modułu Slave
Interfejs SPI Opracowana w firmie Motorola


(…)

… jest jako pierwszy.
Ponieważ w Modbus jest transmisja znakowa, zostały przyjęte kryteria czasowe pozwalające określić ciągłość znaków.
W trybie RTU odległość między ramkami powinna wynosić minimum 3,5 znaku.
Przerwa między znakami wewnątrz ramki nie może przekroczyć 1,5 znaku.
W protokole Modbus przyjęto analogiczne typy danych jak dla sterowników PLC; wzorem były sterowniki Modicon.
Dostęp do określonego typu danych realizowany jest użycie odpowiednich funkcji protokołu.
Komunikacja bezprzewodowa Pasma ISM/LPRD Pasma 433 MHz oraz 868 MHz nie wymagają licencji lub homologacji ISM (ang. Industrial, Scientific, Medical) to pasmo radiowe początkowo przeznaczone dla zastosowań przemysłowych, naukowych i medycznych. ISM z definicji jest pasmem nielicencjonowanym.
Obecnie z części tych zakresów korzystają systemy…

W układzie Slave gdy sygnał /SS=1, wszystkie linie SPI są wejściami Magistrala SPI z jednym układem Master i wieloma układami Slave Aby transmisja pomiędzy mikrokontrolerem, a urządzeniem peryferyjnym przebiegała prawidłowo muszą być spełnione następujące warunki:
zachowanie jednakowej długość danej (najczęściej 8 bitów lub wielokrotność tej liczby),
taka sama kolejność wysyłania bitów (najczęściej od MSB…
… dynamiczny - Określa maksymalną zmianę mocy wejściowej odbiornika, przy której sygnał zostanie prawidłowo zdemodulowany Przyczyny ograniczenia zasięgu transmisji radiowej Odbicie fali (o duże przedmioty w porównaniu z długością fali) Dyfrakcja - ugięcie fali na ostrych krawędziach Rozpraszanie sygnału na stosunkowo małych przedmiotach w porównaniu z długością fali Tłumienie sygnału przez różne obiekty…
… sieci sterowników PLC
Przykładowe rozwiązanie połączenia między węzłami sieci Modbus (max 247 węzłów slave)
Ramka protokołu Modbus
PDU (ang. ProtocolData Unit)
Adres węzłów slave z zakresu 1 -247
Adres 0 jest adresem rozgłoszeniowym; w tym przypadku żaden węzeł slave nie generuje odpowiedzi
W protokole Modbus przewidziano dwa podstawowe tryby transmisji: RTU oraz ASCII
Formaty jednostki informacyjnej…
… przekształca ciąg bitów w zmiany amplitudy fali nośnej Model systemu transmisyjnego wykorzystującego ASK Modulacja OOK (ang. On Off Keying) Jest najprostszą formą ASK - obecność fali nośnej odpowiada binarnej jedynce a binarne zero reprezentowane jest przez brak fali nośnej Transmisja z rozpraszaniem widma (FHSK, FSK, GFSK, BPSK, QPSK) Rozpraszanie widma metodą przeskoków częstotliwości FHSS (ang. Frequency…
... zobacz całą notatkę



Komentarze użytkowników (0)

Zaloguj się, aby dodać komentarz