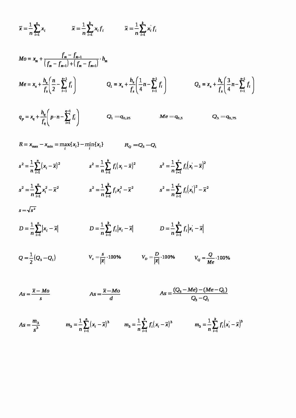
wzory do statystyki opisowej

Nasza ocena:

3
Pobrań: 2513
Wyświetleń: 8078
Komentarze: 0
Notatek.pl

Pobierz ten dokument za darmo

Podgląd dokumentu
wzory do statystyki opisowej - strona 1

Fragment notatki:



Komentarze użytkowników (0)

Zaloguj się, aby dodać komentarz