Wyznaczanie przemieszczeń- opracowanie

Nasza ocena:

5
Pobrań: 406
Wyświetleń: 1610
Komentarze: 0
Notatek.pl

Pobierz ten dokument za darmo

Podgląd dokumentu
Wyznaczanie przemieszczeń- opracowanie - strona 1 Wyznaczanie przemieszczeń- opracowanie - strona 2

Fragment notatki:

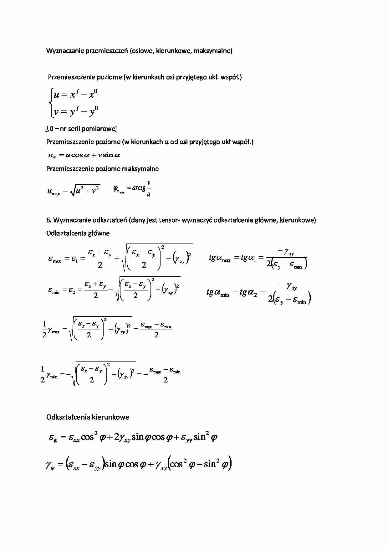
Wyznaczanie przemieszczeń (osiowe, kierunkowe, maksymalne)
Przemieszczenie poziome (w kierunkach osi przyjętego ukł. współ.)
u  x j  x 0


j
0
v  y  y

j,0 – nr serii pomiarowej
Przemieszczenie poziome (w kierunkach α od osi przyjętego ukł współ.)
u  u cos   v sin 
Przemieszczenie poziome maksymalne
umax  u  v
2
u max  arctg
2
v
u
6. Wyznaczanie odkształceń (dany jest tensor- wyznaczyć odkształcenia główne, kierunkowe)
Odkształcenia główne
 max   1 
 min   2 
x y
2
x y
2
 
1
 max   x y
 2
2

1
 min  
2
x  y
 
 2

x  y
 
 2

2

   xy 2


tg max  tg1 
2

   xy 2


tg min  tg 2 
2

   min
   xy 2  max

2

x  y

 2

2

   min
   xy 2   max

2

Odkształcenia kierunkowe
   xx cos 2   2 xy sin cos    yy sin2 
    xx   yy sin  cos    xy cos 2   sin 2  
  xy
2 y   max 
  xy
2 y   min 

 x
T  
  yx
 2

 xy 

2 

y 

7. Niezmienniki przekształceń odkształceń dla tensora przestrzennego
1) niezmiennik liniowy
J1   x   y   z  1   2   3
2)Niezmiennik kwadratowy
2
2
2
J 2   x y   y z   x z   xy   yz   xz   1 2   2 3  1 3
3) niezmiennik sześcienny
2
2
2
J 3   x y z  2 xy yz xz   z xy   x yz   y xz   1 2 3
... zobacz całą notatkę



Komentarze użytkowników (0)

Zaloguj się, aby dodać komentarz