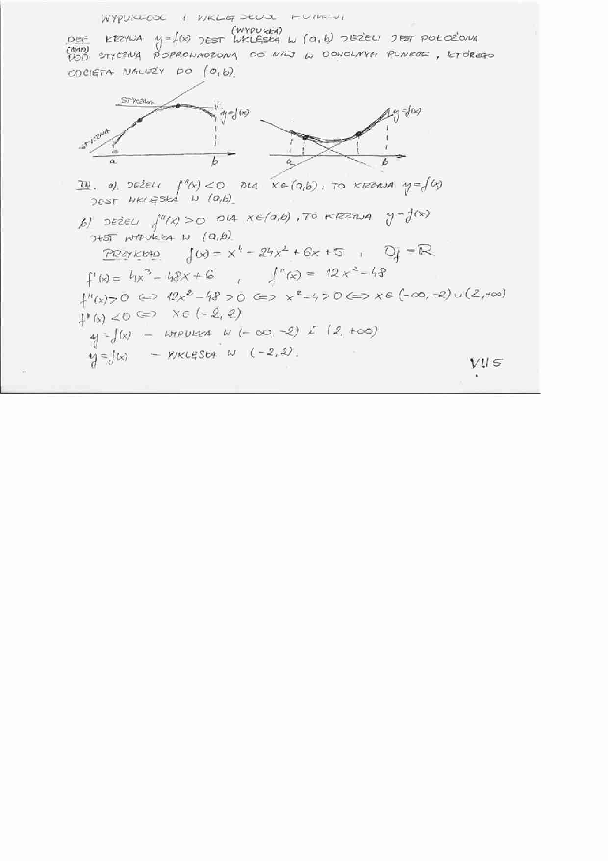
Wypukłość i wklęsłość funkcji - wykład1

Nasza ocena:

5
Pobrań: 21
Wyświetleń: 420
Komentarze: 0
Notatek.pl

Pobierz ten dokument za darmo

Podgląd dokumentu
Wypukłość i wklęsłość funkcji - wykład1 - strona 1 Wypukłość i wklęsłość funkcji - wykład1 - strona 2

Fragment notatki:

Notatka porusza między innymi zagadnienia takie jak: krzywa, definicja, twierdzenie, wypukłość i wklęsłość funkcji, warunki. ... zobacz całą notatkę



Komentarze użytkowników (0)

Zaloguj się, aby dodać komentarz