Wykład - Kwalifikacje zawodowe formalne

Nasza ocena:

3
Pobrań: 217
Wyświetleń: 1155
Komentarze: 0
Notatek.pl

Pobierz ten dokument za darmo

Podgląd dokumentu
Wykład - Kwalifikacje zawodowe formalne - strona 1 Wykład - Kwalifikacje zawodowe formalne - strona 2 Wykład - Kwalifikacje zawodowe formalne - strona 3

Fragment notatki:

Gospodarowanie kapitałem ludzkim Wykład 2
Kwalifikacje zawodowe formalne
Kwalifikacje zawodowe realne
-poziom wykształcenia
-staż pracy
-wiedza
-umiejętności
Zatrudnienie- aktywność zawodowa wyrażająca się w procesie pracy
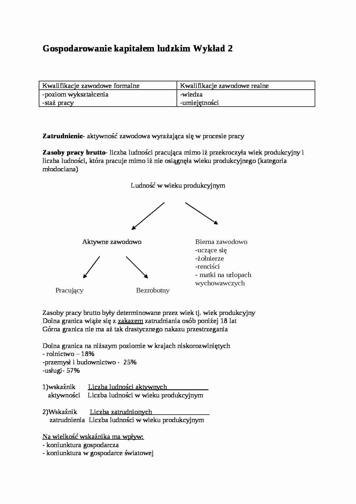
Zasoby pracy brutto- liczba ludności pracująca mimo iż przekroczyła wiek produkcyjny i liczba ludności, która pracuje mimo iż nie osiągnęła wieku produkcyjnego (kategoria młodociana) Ludność w wieku produkcyjnym
Zasoby pracy brutto były determinowane przez wiek tj. wiek produkcyjny
Dolna granica wiąże się z zakazem zatrudniania osób poniżej 18 lat
Górna granica nie ma aż tak drastycznego nakazu przestrzegania
Dolna granica na niższym poziomie w krajach niskorozwiniętych
- rolnictwo - 18%
-przemysł i budownictwo - 25%
-usługi- 57%
1)wskaźnik Liczba ludności aktywnych___________ aktywności Liczba ludności w wieku produkcyjnym
2)Wskaźnik Liczba zatrudnionych________________ zatrudnienia Liczba ludności w wieku produkcyjnym
Na wielkość wskaźnika ma wpływ:
- koniunktura gospodarcza
- koniunktura w gospodarce światowej
- czynniki kulturowe (tradycja), przyjęty model rodziny
- od struktury wiekowej społeczeństwa
- czynnik materialny
- sytuacja na rynku pracy
Zasoby Funkcje zatrudnienia
1) jest czynnikiem wzrostu gospodarczego. Przyspieszając wzrost zatrudnienia lub zwiększając jego efektywność możemy przyspieszyć wzrost gospodarczy
2) Funkcja docelowa - zatrudnienie jest czynnikiem wzrostu dochodu ludności i funkcję tę możemy realizować w dwojaki sposób: - poprzez szybszy wzrost przedsięwzięć płacy dla zatrudnionego
- poprzez wzrost liczby osób pracujących w danym gospodarstwie domowym
3) Funkcja społeczna - oznacza, że zatrudnienie jest środkiem zaspokojenia społecznej potrzeby pracy
Podaż pracy określona przez liczbę osób pracujących i chcących pracować czyli tych, których aktywnie poszukują pracy. W ujęciu ilościowym i jakościowym . Ujecie jakościowe wyraża nam przekrój kwalifikacyjno-zawodowy tej gr.
Aktualna podaż pracy tp liczba osób poszukujących pracy.
Podaż zależy:
-od czynnika demograficznego


(…)

… się
specyficzne- obejmujące umiejętności wykorzystania określonych technologii, procesów produkcyjnych np. praca z komputerem na różnych poziomach zaawansowania, umiejętność utrzymania i naprawiania konkretnego urządzenia itp.
wiedza techniczna i naukowa- odnosi się do biegłości w określonych działaniach i technik analitycznych, które są niezbędne podczas procesów produkcji lub przy wykorzystaniu zaawansowanych…
…:
-od czynnika demograficznego
- od migracji ludności Popyt na prace tworzy liczba utworzonych miejsc pracy w gospodarce tzw. popyt całkowity, natomiast popyt aktualny tworzy liczbę miejsc nieobsadzonych.
Popyt na prace w konkretnym zakładzie wynika z dwóch źródeł:
1) tzw. zapotrzebowania rekompensacyjnego, które polega na tym że na miejsce pracowników z którymi rozwiązano stosunek pracy przyjmuje się nowych. Na ten rodzaj zapotrzebowania wpływają:
-ubytek naturalny na skutek śmierci części pracowników , przejścia na emeryturę,
- ubytek pracowników uzasadniony społecznie np. służby wojskowej, urlopów wychowawczych, zwolnienia pracownika przez pracodawcę
2) Zapotrzebowanie rozszerzające, które kształtuje się pod wpływem oddania do użytku nowych stanowisk pracy w wyniku zakończenia procesów inwestycyjnych…
... zobacz całą notatkę



Komentarze użytkowników (0)

Zaloguj się, aby dodać komentarz