Wykład (11)

Nasza ocena:

3
Pobrań: 21
Wyświetleń: 469
Komentarze: 0
Notatek.pl

Pobierz ten dokument za darmo

Podgląd dokumentu
Wykład (11) - strona 1 Wykład (11) - strona 2 Wykład (11) - strona 3

Fragment notatki:

Przykłady dynamicznego tworzenia i usuwania
róŜnych wariantów tablicy dwuwymiarowej → int [2][3]
Przykład A)
dla porównania → zwykła tablica dwuwymiarowa
void main( )
{
int tab_A [ 2 ] [ 3 ];
// przykładowe operacje
tab_A[0][0] = 200;
tab_A[0][1] = 201;
tab_A[1][0] = 210;
tab_A[1][1] = tab_A[1][2];
// nie trzeba oprogramowywać operacji usuwania tablicy A
// bo jej tworzenie i usuwanie jest realizowane przez kompilator !
}
Przykład B)
Wskaźnik na dwuwymiarową dynamiczną tablicę liczb całkowitych
Uwaga: taka reprezentacja jest bardzo niewygodna w zapisie,
bo wszędzie trzeba dopisywać operator „gwiazdki” lub [0]
void main( )
{
int (*tab_B) [ 2 ] [ 3 ];
tab_B = new int[1][2][3];
// dynamiczna alokacja tablicy tab_B
// przykładowe operacje na takiej tablicy B
(*tab_B)[0][0] = 200;
// tab_B[0][0][0] = 200;
(*tab_B)[0][1] = 201;
// tab_B[0][0][1] = 201;
(*tab_B)[1][0] = 210;
// tab_B[0][1][0] = 210;
(*tab_B)[1][1] = (*tab_B)[1][2];
// tab_B[0][1][1] = tab_B[0][1][2];
delete [ ] tab_B;
// zwolnienie pamięci
}
#include
// to samo, za pomocą tradycyjnych funkcji malloc i free
tab_B = ( int(*)[2][3] )malloc( 2*3*sizeof(int) );
(*tab_B)[0][0] = 200;
free( tab_B );
M. Piasecki: JĘZYKI PROGRAMOWANIA (1)
−1−
// utworzenie
// tab_B[0][0][0] = 200;
// zwolnienie
(W12) Dynamiczne tablice 2D
Przykład C)
Wskaźnik na pierwszą 3-elementową tablicę (pierwszą z dwóch)
void main( )
{
int (*tab_C) [ 3 ];
tab_C = new int [2][3];
// dynamiczna alokacja tablicy tab_C
tab_C[0][0] = 200;
tab_C[0][1] = 201;
tab_C[1][0] = 210;
tab_C[1][1] = tab_C[1][2];
// przykładowe operacje na tablicy tab_C
delete [ ] tab_C;
// zwolnienie pamięci tab_C
}
#include
// to samo, za pomocą tradycyjnych funkcji malloc i free
tab_C = ( int(*)[3] ) malloc( 2*3*sizeof(int) );
// utworzenie
tab_C[0][0] = 200;
free( tab_C );
// zwolnienie
Przykład D)
Zwykła dwuelementowa tablica wskaźników na dynamiczne tablice liczb
void main( )
{
int *tab_D [ 2 ];
tab_D[0] = new int [3];
tab_D[1] = new int [3];
// pierwszy wiersz ← dynamiczna alokacja
// drugi wiersz
tab_D[0][0] = 200;
tab_D[0][1] = 201;
tab_D[1][0] = 210;
tab_D[1][1] = tab_D[1][2];
// przykładowe operacje na tablicy tab_D
delete [ ] tab_D[0];
delete [ ] tab_D[1];
// pierwszy wiersz ← zwolnienie pamięci
// drugi wiersz
}
#include
// to samo, za pomocą tradycyjnych funkcji malloc i free
tab_D[0] = (int*)malloc(3*sizeof(int)); tab_D[1] = (int*)malloc(3*sizeof(int));
tab_D[0][0] = 200;
free( tab_D[0] ); free( tab_D[1] );
M. Piasecki: JĘZYKI PROGRAMOWANIA (1)
−2−
(W12) Dynamiczne tablice 2D
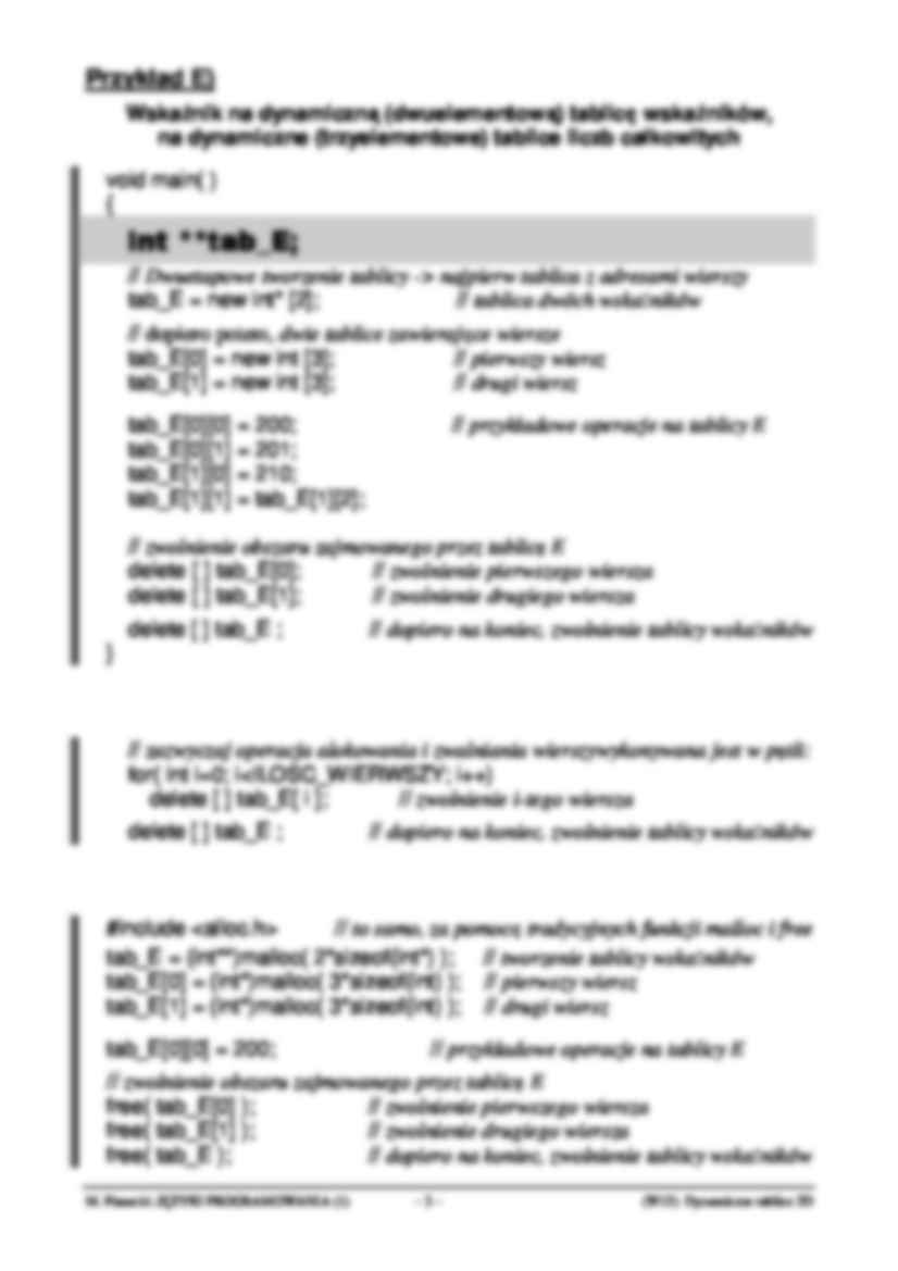
Przykład E)
Wskaźnik na dynamiczną (dwuelementową) tablicę wskaźników,
na dynamiczne (trzyelementowe) tablice liczb całkowitych
void main( )
{
int **tab_E;
// Dwuetapowe tworzenie tablicy - najpierw tablica z adresami wierszy
tab_E = new int* [2];
// tablica dwóch wskaźników
// dopiero potem, dwie tablice zawierające wiersze
tab_E[0] = new int [3];
// pierwszy wiersz
tab_E[1] = new int [3];
// drugi ... zobacz całą notatkę



Komentarze użytkowników (0)

Zaloguj się, aby dodać komentarz