Układ krążenia - grupa krwi - omówienie

Nasza ocena:

3
Pobrań: 287
Wyświetleń: 1134
Komentarze: 0
Notatek.pl

Pobierz ten dokument za darmo

Podgląd dokumentu
Układ krążenia - grupa krwi - omówienie - strona 1 Układ krążenia - grupa krwi - omówienie - strona 2 Układ krążenia - grupa krwi - omówienie - strona 3

Fragment notatki:

GRUPA GŁOWNA KRWI I CZYNNIK Rh
1. Grupa krwi: - grupę krwi określają specjalne białka znajdujące się w błonach komórkowych krwinek czerwonych
- w układzie grupowym A B 0 wyróżnia się cztery główne grupy krwi: A, B, AB i 0
- osoba mająca tzw. białko A ma grupę A, a mająca tzw. białko B ma grupę B
- jeśli w błonach erytrocytów występuje zarówno białko A, jak i B, to osoba ma grupę AB
- jeżeli w błonach erytrocytów nie ma żadnych z tych białek to osoba ma grupę 0
- w osoczu osób z grupą A występują naturalne przeciwciała anty_B i odwrotnie
- we krwi osób z grupą AB nie ma takich przeciwciał, a we krwi grupy 0 są obecne wszystkie przeciwciała
Grupa krwi
Białkowy czynnik
Przeciwciała w
osoczu
Może być dawcą dla grup
Może być biorcą grup
A
B
AB
0
A
B
A, B
brak
anty-B
anty-A
brak
anty-A, anty-B
A, AB
B, AB
AB
0, A, B, AB
A, 0
B, 0
AB, A, B, 0
0
- w wyniku transfuzji różnych grup krwi może dojść do niebezpiecznego zlepiania się erytrocytów - aglutynacji (np. przeciwciała anty-B wiążą się z białkami B - dawca B, biorca A) - w grupie AB nie ma przeciwciał, więc teoretycznie można przetoczyć im każdą krew (określenie uniwersalnego biorcy)
- grupa 0 nie wywołuje aglutynacji w żadnej grupie krwi (określenie uniwersalnego biorcy)
- w rzeczywistości zasada uniwersalnego dawcy i biorcy jest mocno ograniczona i podczas transfuzji pożądana jest pełna zgodność
2. Czynnik Rh - czynnik Rh warunkują inne białka znajdujące się w tych błonach komórkowych krwinek czerwonych, najważniejsze jest białko D (wywołuje najsilniejsze reakcje odpornościowe)
- nazwa pochodzi od małpy - rezusa, u której po raz pierwszy wykazaną tę cechę


(…)

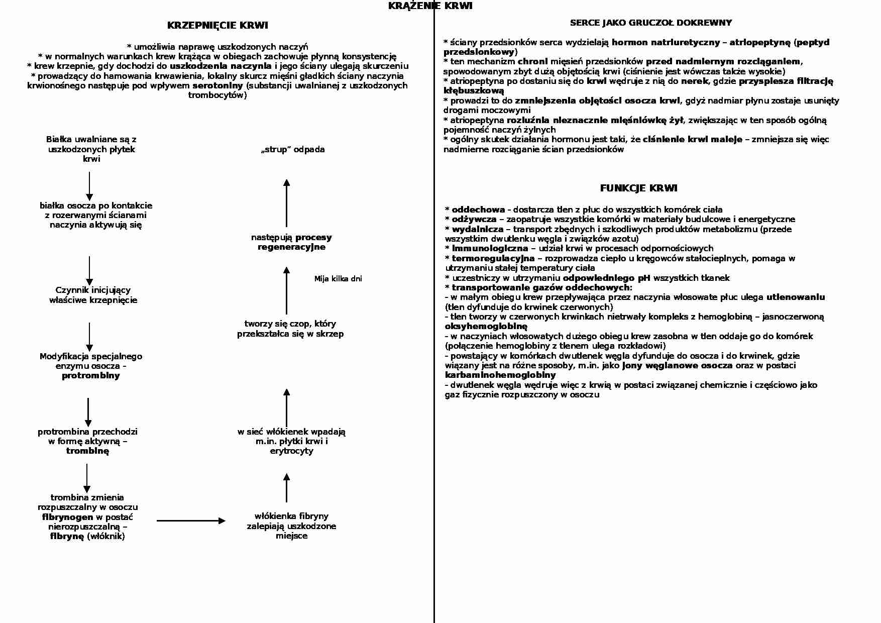
… jest na różne sposoby, m.in. jako jony węglanowe osocza oraz w postaci karbaminohemoglobiny
- dwutlenek węgla wędruje więc z krwią w postaci związanej chemicznie i częściowo jako gaz fizycznie rozpuszczony w osoczu
KRĄŻENIE KRWI
„strup” odpada
następują procesy regeneracyjne
Mija kilka dni
tworzy się czop, który przekształca się w skrzep

… się szczególnie szybko już po pierwszym porodzie i utrzymuje się na wysokim poziomie jeszcze kilka lat później
- często tuż przed porodem kobiecie podaje się gotowe przeciwciała
- zwykle wtedy układ odpornościowy nie produkuje własnych przeciwciał, a poziom sztucznych szybko się obniża
HIGIENA I NIEKTÓRE CHOROBY UKŁADU KRĄŻENIA
1. Miażdżyca (arterioskleroza) - czynniki rozwoju: nieaktywny tryb życia…
…, gdy dochodzi do uszkodzenia naczynia i jego ściany ulegają skurczeniu
* prowadzący do hamowania krwawienia, lokalny skurcz mięśni gładkich ściany naczynia krwionośnego następuje pod wpływem serotoniny (substancji uwalnianej z uszkodzonych trombocytów)
SERCE JAKO GRUCZOŁ DOKREWNY
* ściany przedsionków serca wydzielają hormon natriuretyczny - atriopeptynę (peptyd przedsionkowy)
* ten mechanizm chroni mięsień…
… w ten sposób ogólną pojemność naczyń żylnych * ogólny skutek działania hormonu jest taki, że ciśnienie krwi maleje - zmniejsza się więc nadmierne rozciąganie ścian przedsionków
włókienka fibryny zalepiają uszkodzone miejsce
w sieć włókienek wpadają m.in. płytki krwi i erytrocyty
trombina zmienia rozpuszczalny w osoczu fibrynogen w postać nierozpuszczalną - fibrynę (włóknik)
protrombina przechodzi w formę aktywną…
... zobacz całą notatkę



Komentarze użytkowników (0)

Zaloguj się, aby dodać komentarz