Twardy i miękki pozytywizm

Nasza ocena:

5
Pobrań: 3584
Wyświetleń: 10423
Komentarze: 0
Notatek.pl

Pobierz ten dokument za darmo

Podgląd dokumentu
Twardy i miękki pozytywizm  - strona 1 Twardy i miękki pozytywizm  - strona 2 Twardy i miękki pozytywizm  - strona 3

Fragment notatki:

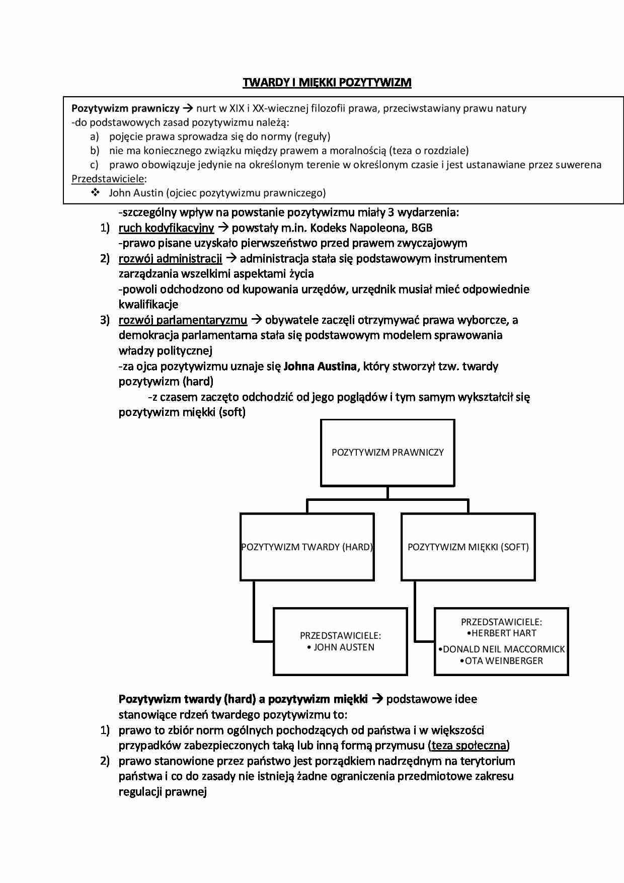
TWARDY I MIĘKKI POZYTYWIZM -szczególny wpływ na powstanie pozytywizmu miały 3 wydarzenia: ruch kodyfikacyjny  powstały m.in. Kodeks Napoleona, BGB -prawo pisane uzyskało pierwszeństwo przed prawem zwyczajowym rozwój administracji  administracja stała się podstawowym instrumentem zarządzania wszelkimi aspektami życia -powoli odchodzono od kupowania urzędów, urzędnik musiał mieć odpowiednie kwalifikacje rozwój parlamentaryzmu  obywatele zaczęli otrzymywać prawa wyborcze, a demokracja parlamentarna stała się podstawowym modelem sprawowania władzy politycznej
-za ojca pozytywizmu uznaje się Johna Austina , który stworzył tzw. twardy pozytywizm (hard)
-z czasem zaczęto odchodzić od jego poglądów i tym samym wykształcił się pozytywizm miękki (soft) Pozytywizm twardy (hard) a pozytywizm miękki  podstawowe idee stanowiące rdzeń twardego pozytywizmu to:
prawo to zbiór norm ogólnych pochodzących od państwa i w większości przypadków zabezpieczonych taką lub inną formą przymusu ( teza społeczna )
prawo stanowione przez państwo jest porządkiem nadrzędnym na terytorium państwa i co do zasady nie istnieją żadne ograniczenia przedmiotowe zakresu regulacji prawnej prawo powstaje z reguły w trybie jednostronnych i władczych decyzji wydawanych przez organy państwowe lub z upoważnienia organów państwowych źródłem prawa są teksty prawne, a więc autoryzowane przez organy państwowe dokumenty, które składają się z norm prawnych (konstytucja, ustawy, akty podstawowe, a w krajach common law precedensy) i zasadniczo przez odwołanie się do tych dokumentów prawo jest identyfikowane ( test pochodzenia ) prawo jest systemem niezależnym od moralności i innych systemów normatywnych w tym sensie, iż norma prawidłowo ustanowiona obowiązuje nawet wtedy, gdyby okazało się, iż jest ona niesłuszna lub nieracjonalna albo niezgodna z innymi pozaprawnymi regułami ( teza o rozdziale ) podstawowym obowiązkiem organów państwa i obywateli jest przestrzeganie prawa, nawet prawa niesłusznego lub niezgodnego z innymi pozaprawnymi regułami ( pozytywistyczna zasada rządów prawa ) głównymi metodami analizy prawa są metody analityczne (językowo logiczne), a podstawowym zadaniem prawnika jest egzegeza tekstów prawnych - ich opracowywanie, porządkowanie i wykładnia Ad 1) Teza społeczna -teza społeczna Austina opiera się na założeniu, że prawo stanowi nierozerwalny związek trzech elementów:
rozkazu suwerennej władzy obowiązku posłuszeństwa
sankcji trójkąt pozytywistyczny -z tezy tej Austin wyprowadził dwie następne:

(…)

… wnioskowań (np. analogia iuris, analogia legis) mają charakter twórczy -nie można zatem mówić o istnieniu jednego kryterium identyfikacji norm prawnych -można wyróżnić co najmniej 3 kryteria:
test pochodzenia
test interpretacyjny
test inferencyjny Ad 5) Teza o rozdziale
-teza o rozdziale sprowadza się do twierdzenia, że prawo i moralność to dwa odrębne systemy normatywne i że nie istnieje żaden konieczny…

sankcji trójkąt pozytywistyczny -z tezy tej Austin wyprowadził dwie następne:
teza o prymacie - prawo jest najwyższym porządkiem normatywnym na terytorium państwa teza o omnipotencji - kompetencje prawodawcy nie są przedmiotowo ograniczone -Austin pojmował suwerenność władzy przez pryzmat idei N. Machiavellego, J. Bodina i T. Hobbesa -suwerenem jest tylko taki podmiot, którego władza jest absolutna…
... zobacz całą notatkę



Komentarze użytkowników (0)

Zaloguj się, aby dodać komentarz