Transport - omówienie.

Nasza ocena:

3
Pobrań: 238
Wyświetleń: 1638
Komentarze: 0
Notatek.pl

Pobierz ten dokument za darmo

Podgląd dokumentu
Transport  - omówienie. - strona 1 Transport  - omówienie. - strona 2

Fragment notatki:

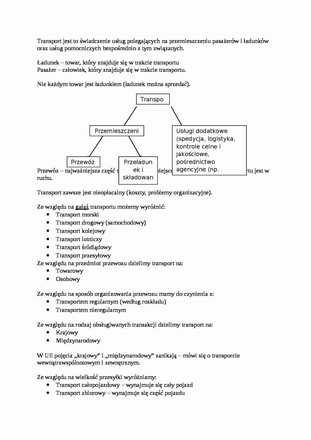
Transport jest to świadczenie usług polegających na przemieszczeniu pasażerów i ładunków oraz usług pomocniczych bezpośrednio z tym związanych.
Ładunek - towar, który znajduje się w trakcie transportu
Pasażer - człowiek, który znajduje się w trakcie transportu.
Nie każdym towar jest ładunkiem (ładunek można sprzedać).
Przewóz - najważniejsza część transportu, ma miejsce wtedy, kiedy środek transportu jest w ruchu.
Transport zawsze jest nieopłacalny (koszty, problemy organizacyjne).
Ze względu na gałąź transportu możemy wyróżnić:
Transport morski
Transport drogowy (samochodowy)
Transport kolejowy
Transport lotniczy
Transport śródlądowy
Transport przesyłowy
Ze względu na przedmiot przewozu dzielimy transport na:
Towarowy
Osobowy
Ze względu na sposób organizowania przewozu mamy do czynienia z:
Transportem regularnym (według rozkładu)
Transportem nieregularnym
Ze względu na rodzaj obsługiwanych transakcji dzielimy transport na:
Krajowy
Międzynarodowy
W UE pojęcia „krajowy” i „międzynarodowy” zanikają - mówi się o transporcie wewnątrzwspólnotowym i zewnętrznym.
Ze względu na wielkość przesyłki wyróżniamy:
Transport całopojazdowy - wynajmuje się cały pojazd
Transport zbiorowy - wynajmuje się część pojazdu
Ze względu na ciągłość procesu transportowego:
Transport bezpośredni (kiedy w procesie dostawy ładunku występuje tylko jedna gałąź transportu) [często samochody, także kolejowy i morski]
Transport wielogałęziowy (kiedy do przemieszczenia ładunku konieczne jest użycie środków dwóch lub więcej gałęzi transportu)
Transport multimodalny/intermodalny (kiedy mamy do czynienia z jednostkami ładunkowymi)
Ze względu na odległość dzielimy transport na:
Bliski
Średni
Daleki
Loty w Polsce - blisko dystansowe
Loty europejskie - średniodystansowe
Loty poza UE - dalekodystansowe
W różnych gałęziach transportu różne odległości są uważane za bliskie, średnie i dalekie.
Ze względu na dostępność mamy do czynienia z transportem:
Publicznym
Własnym
Ze względu na formę własności wśród przedsiębiorstw transportowych możemy wyróżnić:
Firmy prywatne
Firmy spółdzielcze


(…)

… znaczenia zarówno dla przedsiębiorstw, świadczących usługi transportowe, jak i dla korzystających z tych usług.
Transport
Usługi dodatkowe (spedycja, logistyka, kontrole celne i jakościowe, pośrednictwo agencyjne (np. czarterowanie statków)
Przemieszczenie
Przeładunek i składowanie
Przewóz

... zobacz całą notatkę



Komentarze użytkowników (0)

Zaloguj się, aby dodać komentarz