Test - bioprocesy

Nasza ocena:

3
Pobrań: 56
Wyświetleń: 693
Komentarze: 0
Notatek.pl

Pobierz ten dokument za darmo

Podgląd dokumentu
Test - bioprocesy - strona 1 Test - bioprocesy - strona 2 Test - bioprocesy - strona 3

Fragment notatki:

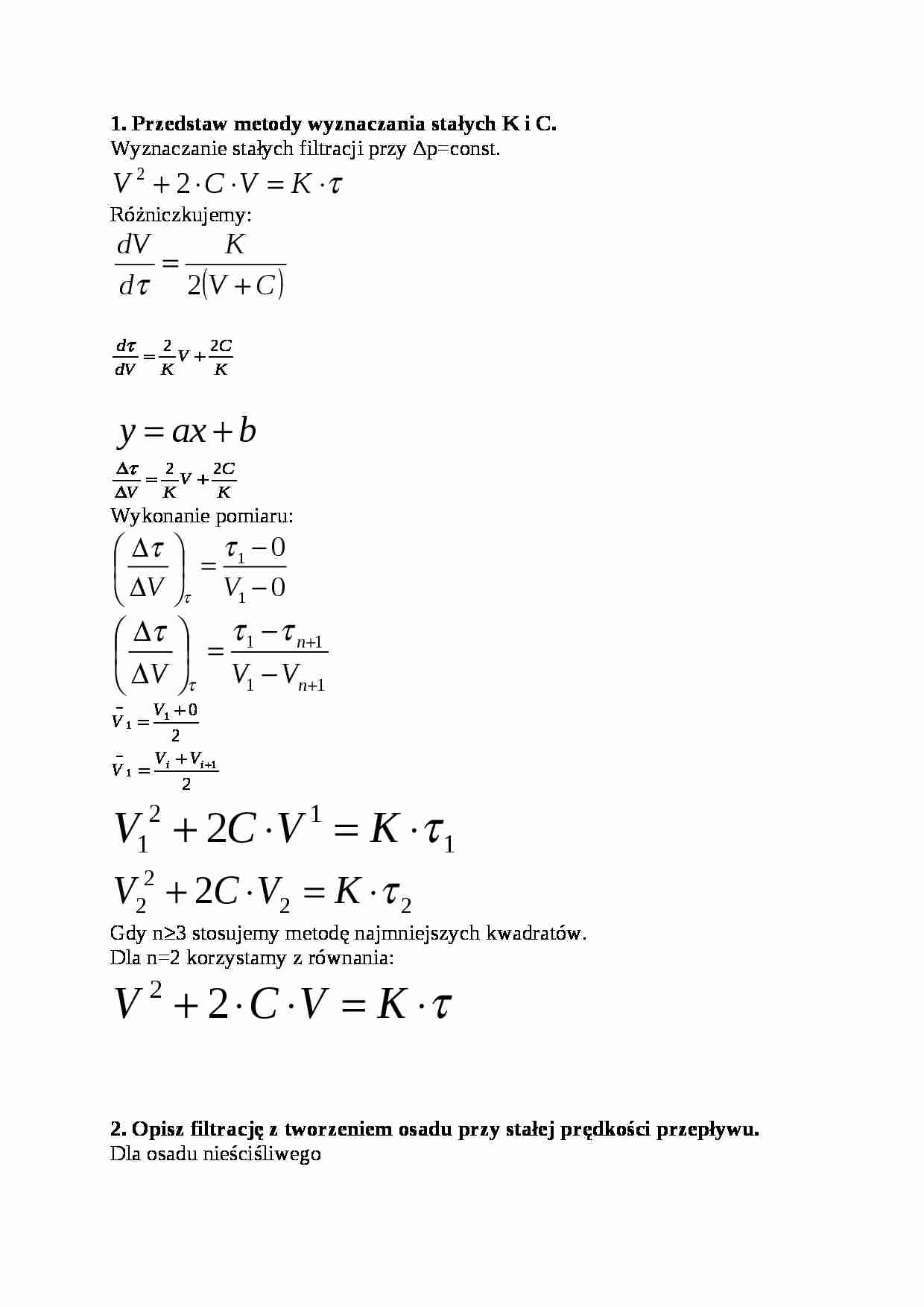
1. Przedstaw metody wyznaczania stałych K i C. Wyznaczanie stałych filtracji przy Δp=const.
Różniczkujemy:
Wykonanie pomiaru:
Gdy n≥3 stosujemy metodę najmniejszych kwadratów.
Dla n=2 korzystamy z równania:
2. Opisz filtrację z tworzeniem osadu przy stałej prędkości przepływu.
Dla osadu nieściśliwego
Dla osadu ściśliwego
3. Scharakteryzuj filtrację dwustopniową
Jest powiązana z filtracją przy stałej prędkości filtracji z filtracją przy stałym ciśnieniu. Przyczyną jej stosowania jest dążność do stworzenia dogodnych warunków we wstępnym okresie filtracji, gdy tworzą się pierwsze warstewki osadu. W takim przypadku nie powinno się stosować dużych różnic ciśnień gdyż mogłaby powodować złą jakość filtracji (część cząstek przechodziłaby do filtratu). W miarę wzrostu długości warstwy osadu opór przy przepłynięciu cieczy wzrasta i otrzymanie stałej prędkości wymaga zwiększenia Δp. Gdy wartość Δp osiągnie maksimum rozpoczyna się drugi stopień filtracji: pod stałym ciśnieniem. 4. Omów przewodnictwo cieplne gazów, cieczy i ciał stałych. Przewodnictwo ciepła w gazach polega na wymianie energii kinetycznej cząsteczek poruszaj się bezładnie i zderzających się ze sobą. Cząsteczki te w obszarze o wyższej temp mają wyższą energię. Współczynnik przewodzenia ciepła dla gazów waha się najczęściej w granicach: λ rośnie zawsze wraz z temperaturą.
Współczynnik przewodzenia ciepła dla cieczy waha się najczęściej w granicach: λ=0,1 - 0,7.
λ dla większości cieczy maleje ze wzrost temp.
Współczynnik przewodzenia ciepła dla ciał stałych (jednorodnych) waha się najczęściej w granicach: λ=0,04 - 460. λ dla ciał stałych wykazuje niemal prostoliniową zależność od temperatury. W materiałach izolacyjnych (λ do 0,1), materiałach budowlanych (λ=0,5:3), w metalach (λ=2:460)
5. Opisz przewodzenie ciepła przez ściankę płaską wielowarstwową Często mamy do czynienia z przewodzeniem ciepła przez ściankę płaską wielowarstwową, przy czym każda warstwa może mieć inną grubość i znacznie różniące się wartości współczynnika przewodzenia ciepła. Całkowity spadek temp w całej ściance płaskiej jest równy sumie spadków temp w poszczególnych warstwach. Opór termiczny stawiany przez ściankę płaska wielowarstwową jest równy sumie oporów termicznych poszczególnych warstw ścianki płaskiej.


(…)

… ciepła λz oraz wielkość charakteryzującą wpływ konwekcji:
i λz = λ
7. Scharakteryzuj siły działające na utworzony pęcherzyk pary podczas wrzenia.
W momencie tworzenia się pęcherzyka działają na niego 2 siły: siła ciężkości otaczającej go cieczy i siła napięcia powierzchniowego samej powierzchni pęcherzyka. Prężność pary w powstałym pęcherzyku musi być tak duża, by siła jej parcia zrównoważyła siły napięcia powierzchniowego i parcia cieczy (pęcherzyk kulisty).
siła która stara się rozerwać pęcherzyk siła powstałą pod wpływem napięcia powierzchniowego, która przeciwstawia się jego rozerwaniu
-pęcherzyk istnieje i rozwija się
następuje kondensacja pęcherz
8. Scharakteryzuj przenikanie ciepła
Przenikanie to przenoszenie ciepła przez przegrodę. Zjawisko przenikania obejmuje przejmowanie ciepła z jednego…
… materiałowy półki zasilającej:
L+G'+F=L'+G
Należy znaleźć związek między liczbą moli cieczy płynącej w górnej części kolumny L a liczbą moli cieczy płynącej w dolnej części kolumny rektyfikacyjnej. Podobnie należy ustalić związek między molowym natężeniem przepływu pary w górnej (G) i dolnej (G') części kolumny. Rozwiązanie tego zagadnienia staje się możliwe po uwzględnieniu wpływu stanu cieplnego surówki…
… ośrodka, przewodzenie przez przegrodę i przejmowanie ciepła przez drugi ośrodek. Ciepło przenika przez ścianę z ośrodka o temp wyższej tz1 do ośrodka o temperaturze niższej tz2.
9. Przedstaw bilans materiałowy kolumny rektyfikacyjnej. Do kolumny rektyfikacyjnej wpływa F kmoli/s o stężeniu xF ułamka molowego składnika bardziej lotnego, wypływa natomiast D kmoli/s rektyfikatu o zawartości xD ułamka…
... zobacz całą notatkę



Komentarze użytkowników (0)

Zaloguj się, aby dodać komentarz