Termodynamika techniczna i chemiczna - wykład

Nasza ocena:

3
Pobrań: 14
Wyświetleń: 413
Komentarze: 0
Notatek.pl

Pobierz ten dokument za darmo

Podgląd dokumentu
Termodynamika techniczna i chemiczna - wykład - strona 1

Fragment notatki:

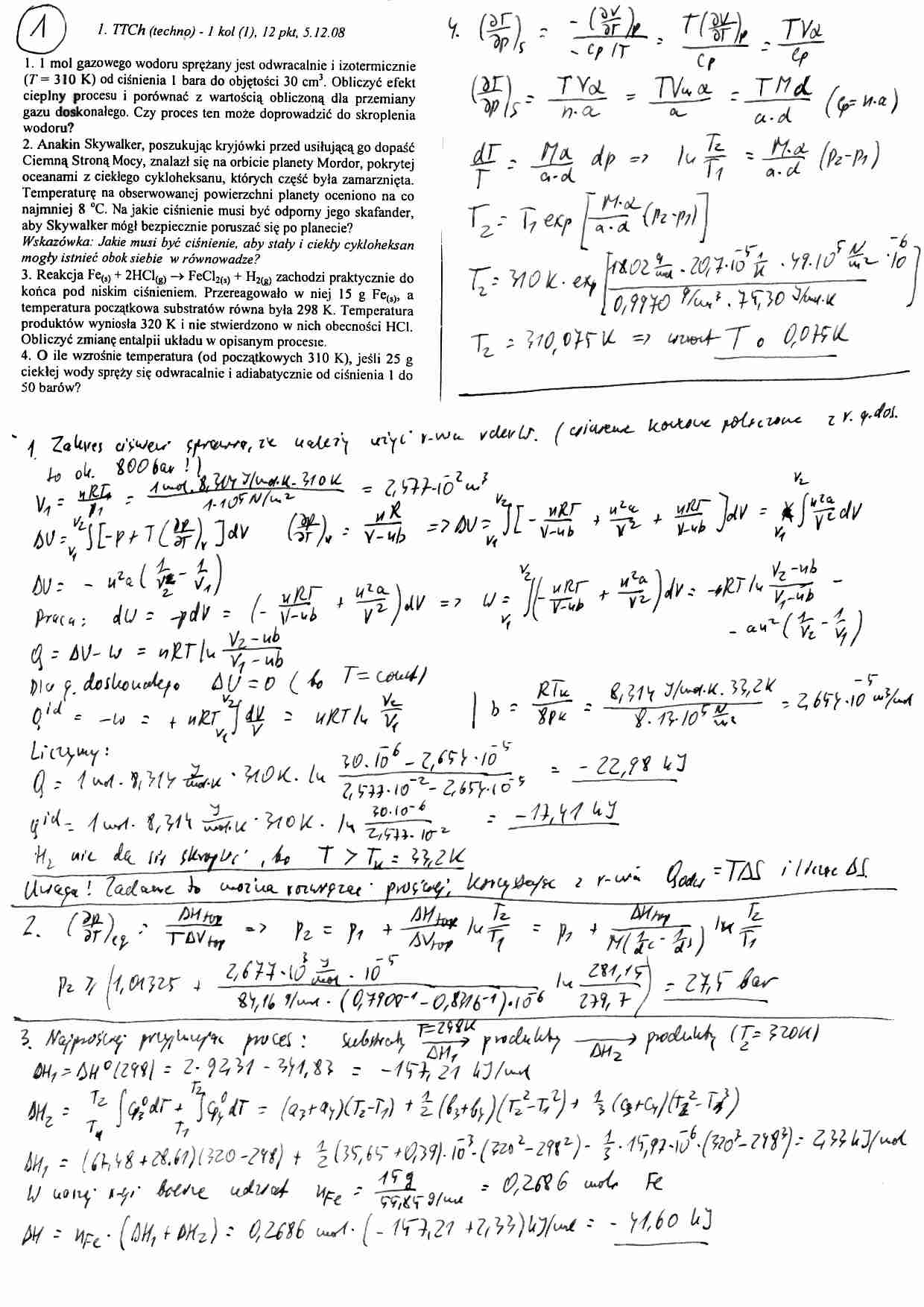
Notatka porusza między innymi takie zagadnienia jak: mol, mol gazowego wodoru, Anakin Skywalker, sprężenie odwracalne, sprężenie adiabatyczne. ... zobacz całą notatkę



Komentarze użytkowników (0)

Zaloguj się, aby dodać komentarz