Systemy pomiarowe - wykład

Nasza ocena:

3
Pobrań: 42
Wyświetleń: 749
Komentarze: 0
Notatek.pl

Pobierz ten dokument za darmo

Podgląd dokumentu
Systemy pomiarowe - wykład - strona 1 Systemy pomiarowe - wykład - strona 2 Systemy pomiarowe - wykład - strona 3

Fragment notatki:

Systemy pomiarowe
Budowane w celu pomiaru wartości wielu różnych wielkości
Inteligentny czujnik -wyposażony w mikroprocesor i stanowić może odrębny podsystem
Oprogramowanie systemów pomiarowych może być skupione na jednej jednostce komputerowej lub rozproszone na wielu jednostkach
Obiekty pomiarowe - modele i parametry
Sygnały (prąd, napięcie)
Stałe - niezmienne w czasie. Zmienne - zmieniające swą wartość w czasie:
Okresowe (sinusoidalne, prostokątne, trójkątne)
Nieokresowe: • Krótkotrwałe (impulsowe, zanikające) • Długotrwałe (prawie okresowe, losowe)
Parametry obwodów elektrycznych: impedancja (Z), rezystancja (R), reaktancja (X), indukcyjność (L), pojemność (C)
„ Moc (czynna, bierna, pozorna), energia
„ Pola magnetyczne
„ Wielkości nieelektryczne: temperatura, ciśnienie, przepływ, wymiary geometryczne, siły i momenty, parametry ruchu
Obiekty pomiarowe - sygnały i ich parametry
Sygnały (prąd, napięcie)
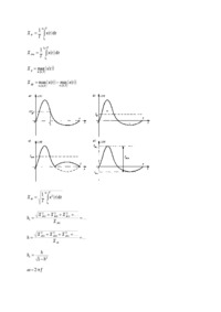
Obiekty pomiarowe - parametry „ Uśr -wartość średnia (składowa stała, DC)
„ Usk -wartość skuteczna
„ Um - amplituda
„ Upp -wartość międzyszczytowa
„ u(t1) - wartość chwilowa (w danej chwili)
„ T - okres - czas trwania jednego pełnego cyklu
„ f - częstotliwość - liczba cykli na jednostkę czasu (f=1/T)
„ ϕ - przesunięcie fazowe (tylko dla sygnałów o jednakowych częstotliwościach)
„ Współczynniki: kształtu krzywej (kk), amplitudy lub szczytu (ka), odkształcenia (kod)
„ Współczynnik zniekształceń nieliniowych lub zawartości harmonicznych h, zawartości n-tej harmonicznej hn
Obiekty pomiarowe - parametry
Wartości skuteczne sygnałów: sinusoidalnego, trójkątnego, prostokątnego Obiekty pomiarowe - modele
Model Thevenina
Modele rzeczywistych elementów R, L i C
Prawa, twierdzenia i zależności
Pomiar częstotliwości
Częstościomierz - metoda bezpośrednia
Pomiar okresu (czasu)
Częstościomierz - metoda pośrednia ... zobacz całą notatkę



Komentarze użytkowników (0)

Zaloguj się, aby dodać komentarz