Systematyzacja prawa- wykład

Nasza ocena:

5
Pobrań: 665
Wyświetleń: 4382
Komentarze: 0
Notatek.pl

Pobierz ten dokument za darmo

Podgląd dokumentu
Systematyzacja prawa- wykład - strona 1 Systematyzacja prawa- wykład - strona 2 Systematyzacja prawa- wykład - strona 3

Fragment notatki:

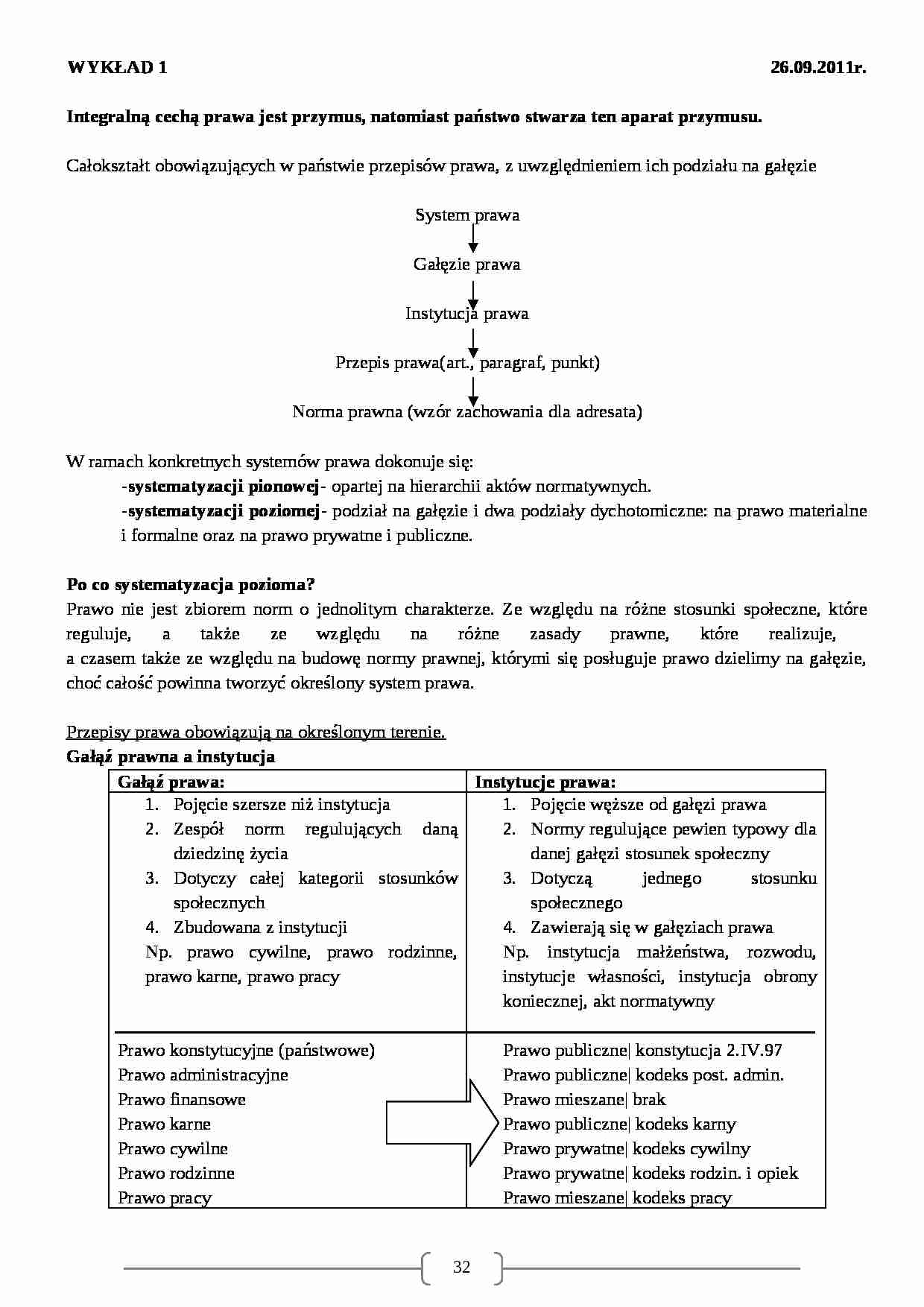
WYKŁAD 1 26.09.2011r.
Integralną cechą prawa jest przymus, natomiast państwo stwarza ten aparat przymusu.
Całokształt obowiązujących w państwie przepisów prawa, z uwzględnieniem ich podziału na gałęzie
System prawa
Gałęzie prawa
Instytucja prawa
Przepis prawa(art., paragraf, punkt)
Norma prawna (wzór zachowania dla adresata)
W ramach konkretnych systemów prawa dokonuje się:
-systematyzacji pionowej- opartej na hierarchii aktów normatywnych.
-systematyzacji poziomej- podział na gałęzie i dwa podziały dychotomiczne: na prawo materialne i formalne oraz na prawo prywatne i publiczne.
Po co systematyzacja pozioma?
Prawo nie jest zbiorem norm o jednolitym charakterze. Ze względu na różne stosunki społeczne, które reguluje, a także ze względu na różne zasady prawne, które realizuje, a czasem także ze względu na budowę normy prawnej, którymi się posługuje prawo dzielimy na gałęzie, choć całość powinna tworzyć określony system prawa. Przepisy prawa obowiązują na określonym terenie.
Gałąź prawna a instytucja
Gałąź prawa:
Instytucje prawa:
Pojęcie szersze niż instytucja Zespół norm regulujących daną dziedzinę życia
Dotyczy całej kategorii stosunków społecznych
Zbudowana z instytucji
Np. prawo cywilne, prawo rodzinne, prawo karne, prawo pracy
Prawo konstytucyjne (państwowe)
Prawo administracyjne Prawo finansowe
Prawo karne Prawo cywilne
Prawo rodzinne
Prawo pracy
Pojęcie węższe od gałęzi prawa
Normy regulujące pewien typowy dla danej gałęzi stosunek społeczny
Dotyczą jednego stosunku społecznego
Zawierają się w gałęziach prawa
Np. instytucja małżeństwa, rozwodu, instytucje własności, instytucja obrony koniecznej, akt normatywny
Prawo publiczne| konstytucja 2.IV.97
Prawo publiczne| kodeks post. admin.
Prawo mieszane| brak
Prawo publiczne| kodeks karny
Prawo prywatne| kodeks cywilny
Prawo prywatne| kodeks rodzin. i opiek
Prawo mieszane| kodeks pracy
(Zawiera normy określające zasady ustroju politycznego i społeczno- gospodarczego, kompetencje podstawowych instytucji państwa i relacje między nimi oraz katalog wolności, prawi i obowiązków jednostki Stanowi zespół norm regulujących stosunki społeczne powstałe w toku…)
... zobacz całą notatkę



Komentarze użytkowników (0)

Zaloguj się, aby dodać komentarz