Socjologia pracy - wykłady i ćwiczenia

Nasza ocena:

5
Pobrań: 231
Wyświetleń: 1932
Komentarze: 0
Notatek.pl

Pobierz ten dokument za darmo

Podgląd dokumentu
Socjologia pracy - wykłady i ćwiczenia - strona 1 Socjologia pracy - wykłady i ćwiczenia - strona 2 Socjologia pracy - wykłady i ćwiczenia - strona 3

Fragment notatki:



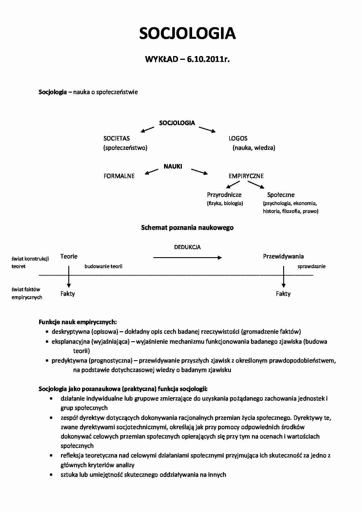
Informacje zawarte w pliku to: funkcje nauk empirycznych, socjologia, etapy procesu badawczego, wskaźniki, analiza dokumentów, zasady formułowania pytań kwestionariuszowych, komunikacja, błąd manipulacyjny, pytania buforowe, pytania filtrujące.


(…)

… zostały
poinformowane, Że znowu będą krzyczeć grupowo, ale każdy otrzyma mikrofon, co
umożliwi zarejestrowanie siły głosu poszczególnych osób. Tym razem próżniactwo
społeczne nie wystąpiło.
Zjawisko facylitacji społecznej obserwowaliśmy w odniesieniu do zadań prostych
oraz trudnych. Postąpmy podobnie także i teraz. Przeciąganie liny czy wspólny krzyk to
przykłady zadań prostych. A co stanie…
…. grup pracowniczych w zakładzie). Pozwala na poznanie rzeczywistej struktury grupy oraz procesów w niej zachodzących (sympatie, antypatie, pozycje liderów).
Analiza dokumentów (szerzej analiza treści) - polega na wykorzystaniu danych, które są gromadzone przez powołane w tym celu jednostki organizacyjno-administracyjne (np. dział kadr). Są to statusy, dokumenty określające zakres obowiązków poszczególnych pracowników itp. Analizie może podlegać także np. zawartość czasopism.
DOBÓR PRÓBY BADAWCZEJ
próba - to część całości, podstawie której możemy wnioskować o populacji
populacja - wszystkie osoby, które powinny być objęte danym badaniem
Najczęściej stosowane metody doboru:
prosty dobór losowy - jeśli prawdopodobieństwo znalezienia się w próbie badawczej w przypadku każdej osoby jest takie samo…

------------------------------------------------------------------------------------------------------------------------------------------------- ODBIORCA NADAWCA
DEKODOWANIE KODOWANIE
KANAŁ
MODEL KOMUNIKACJI JEDNOKIERUNKOWEJ + SPRZĘŻENIE ZWROTNE = MODEL KOMUNIKACJI DWUKIERUNKOWEJ
Cecha
kierunkowa
kierunkowa
Czas
krótszy
dłuższy
Efektywność
mniejsza - więcej błędów
większa - mniej błędów
Klimat emocjonalny
większe napięcie - wyższy poziom stresu
mniejsze napięcie - niższy poziom stresu
Wybrane procesy grupowe (facylitacja społeczna i próżniactwo…
…. Jeśli my
dokonujemy ocen, to musimy liczyć się z tym, Że nasze zachowanie również może podlegać
takiej ocenie. W ten sposób doszliśmy do pojęcia facylitacji społecznej. Jest to napięcie
wynikające z obecności innych i, w związku z tym, możliwości oceny naszego działania, co
powoduje lepsze wykonanie zadań łatwiejszych, ale też gorsze - zadań trudnych.
Bez większego trudu możemy wyobrazić sobie sytuację…
... zobacz całą notatkę



Komentarze użytkowników (0)

Zaloguj się, aby dodać komentarz