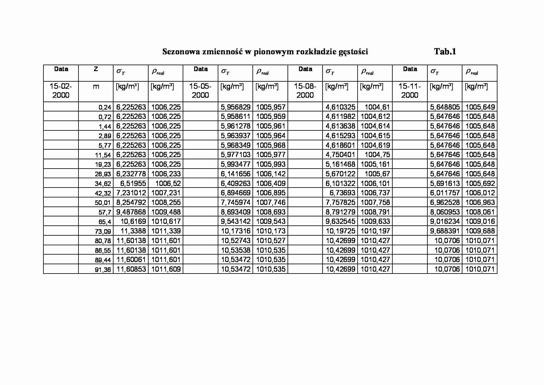
Sezonowa zmienność w pionowym rozkładzie gęstości - tabela

Nasza ocena:

5
Wyświetleń: 784
Komentarze: 0
Notatek.pl

Pobierz ten dokument za darmo

Podgląd dokumentu
Sezonowa zmienność w pionowym rozkładzie gęstości - tabela - strona 1

Fragment notatki:

Data Z Data Data Data 15-02-2000 m [kg/m ³] [kg/m³] 15-05-2000 [kg/m³] [kg/m³] 15-08-2000 [kg/m³] [kg/m³] 15-11-2000 [kg/m³] [kg/m³] 0,24 6,225263 1006,225 5,956829 1005,957 4,610325 1004,61 5,648805 1005,649 0,72 6,225263 1006,225 5,958611 1005,959 4,611982 1004,612 5,647646 1005,648 1,44 6,225263 1006,225 5,961278 1005,961 4,613638 1004,614 5,647646 1005,648 2,89 6,225263 1006,225 5,963937 1005,964 4,615293 1004,615 5,647646 1005,648 5,77 6,225263 1006,225 5,968349 1005,968 4,618601 1004,619 5,647646 1005,648 11,54 6,225263 1006,225 5,977103 1005,977 4,750401 1004,75 5,647646 1005,648 19,23 6,225263 1006,225 5,993477 1005,993 5,161468 1005,161 5,647646 1005,648 26,93 6,232778 1006,233 6,141656 1006,142 5,670122 1005,67 5,647646 1005,648 34,62 6,51955 1006,52 6,409263 1006,409 6,101322 1006,101 5,691613 1005,692 42,32 7,231012 1007,231 6,894669 1006,895 6,73693 1006,737 6,011757 ... zobacz całą notatkę



Komentarze użytkowników (0)

Zaloguj się, aby dodać komentarz