Relacje - ćwiczenia

Nasza ocena:

5
Pobrań: 294
Wyświetleń: 1757
Komentarze: 0
Notatek.pl

Pobierz ten dokument za darmo

Podgląd dokumentu
Relacje - ćwiczenia - strona 1

Fragment notatki:

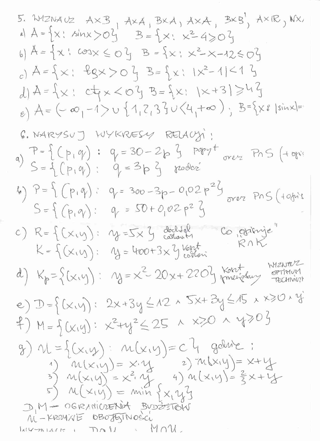
Notatka składa sie z poleceń wyznaczenia zbiorów, wyznaczenia optimum technicznego, wyznaczenia krzywych obojętności, narysowania wykresów popytu i podaży, dochodu całkowitego i kosztów całkowitych, ... zobacz całą notatkę



Komentarze użytkowników (0)

Zaloguj się, aby dodać komentarz