Region jako kategoria przestrzenności

Nasza ocena:

5
Pobrań: 119
Wyświetleń: 1365
Komentarze: 0
Notatek.pl

Pobierz ten dokument za darmo

Podgląd dokumentu
Region jako kategoria przestrzenności - strona 1 Region jako kategoria przestrzenności - strona 2 Region jako kategoria przestrzenności - strona 3

Fragment notatki:


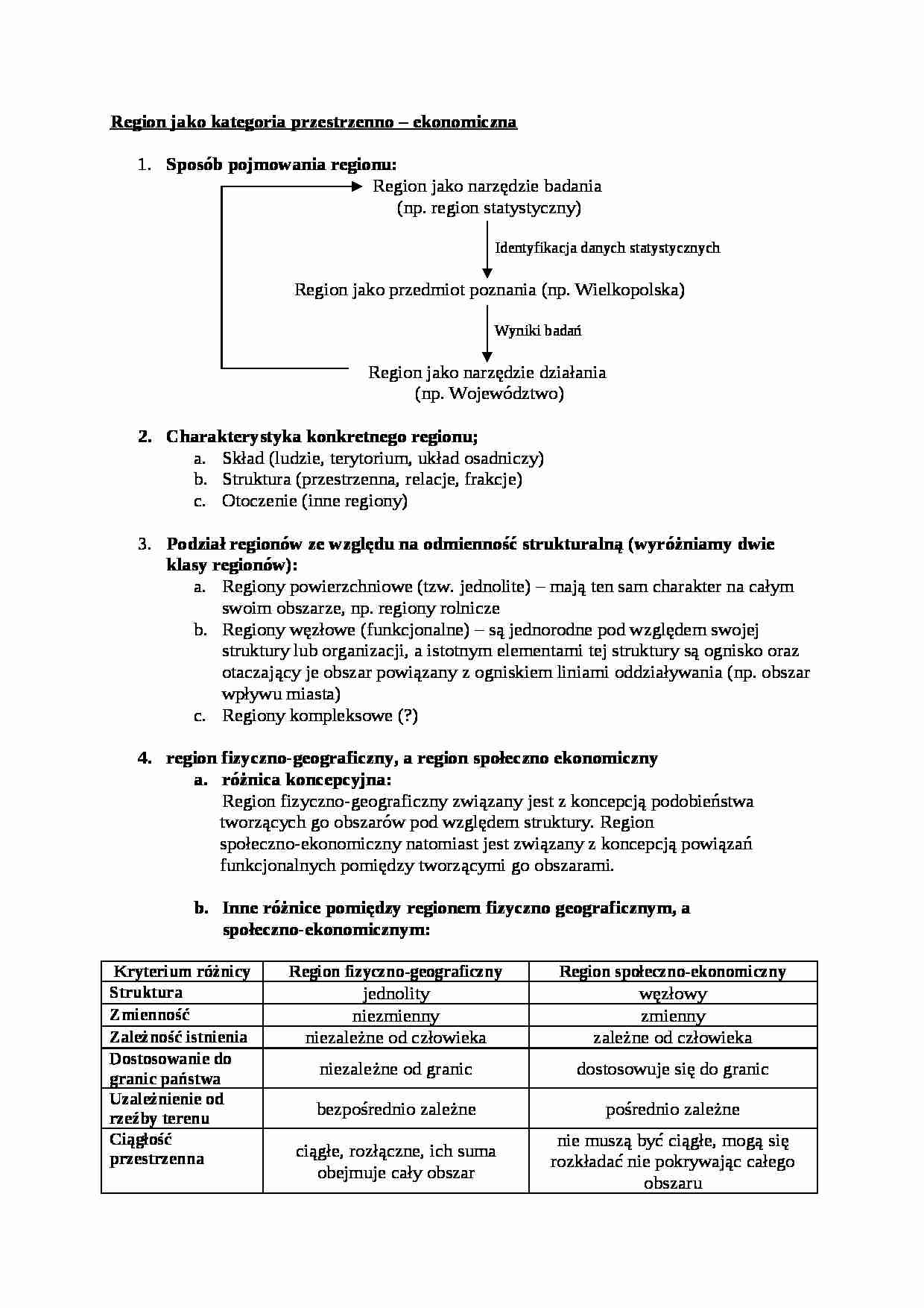
Region jako kategoria przestrzenno - ekonomiczna Sposób pojmowania regionu : Region jako narzędzie badania (np. region statystyczny)
Identyfikacja danych statystycznych
Region jako przedmiot poznania (np. Wielkopolska)
Wyniki badań
Region jako narzędzie działania (np. Województwo)
Charakterystyka konkretnego regionu; Skład (ludzie, terytorium, układ osadniczy)
Struktura (przestrzenna, relacje, frakcje)
Otoczenie (inne regiony)
Podział regionów ze względu na odmienność strukturalną ( wyróżniamy dwie klasy regionów ) : Regiony powierzchniowe (tzw. jednolite) - mają ten sam charakter na całym swoim obszarze, np. regiony rolnicze
Regiony węzłowe (funkcjonalne) - są jednorodne pod względem swojej struktury lub organizacji, a istotnym elementami tej struktury są ognisko oraz otaczający je obszar powiązany z ogniskiem liniami oddziaływania (np. obszar wpływu miasta)
Regiony kompleksowe (?)
region fizyczno-geograficzny, a region społeczno ekonomiczny różnica koncepcyjna: Region fizyczno-geograficzny związany jest z koncepcją podobieństwa tworzących go obszarów pod względem struktury. Region społeczno-ekonomiczny natomiast jest związany z koncepcją powiązań funkcjonalnych pomiędzy tworzącymi go obszarami.
Inne różnice pomiędzy regionem fizyczno geograficznym, a społeczno-ekonomicznym: Kryterium różnicy Region fizyczno-geograficzny Region społeczno-ekonomiczny Struktura jednolity
węzłowy
Zmienność niezmienny
zmienny
Zależność istnienia niezależne od człowieka
zależne od człowieka
Dostosowanie do granic państwa niezależne od granic
dostosowuje się do granic
Uzależnienie od rzeźby terenu bezpośrednio zależne
pośrednio zależne
Ciągłość przestrzenna ciągłe, rozłączne, ich suma obejmuje cały obszar
nie muszą być ciągłe, mogą się rozkładać nie pokrywając całego obszaru
*nazwy regionów społeczno-ekonomicznego i fizyczno-geograficznego mogą być zbieżne, a mimo to ich zasięg może być rozbieżny. Regiony istnieją niezależnie od badaczy i muszą oni je odkrywać, a nie tworzyć
Region ekonomiczny (gospodarczy) - obszar wyodrębniony na podstawie kryteriów ekonomicznych i funkcjonalnie związany z całą gospodarką narodową oraz mający określony profil gospodarczy.

(…)

… (gospodarczy) - obszar wyodrębniony na podstawie kryteriów ekonomicznych i funkcjonalnie związany z całą gospodarką narodową oraz mający określony profil gospodarczy. Wybrane funkcje regionu w gospodarce narodowej:
Realizacja ogólnej polityki regionalnej państwa (polityka interregionalna - państwo w stosunku do wszystkich regionów)
Formułowanie i realizowanie wlasnej polityki (polityka interregionalna…
… województw, utworzono powiaty, a regiony otrzymały charakter samorządowy (same decydują rozwoju, planie zagospodarowania). W maju powstało dodatkowe 7 powiatów (panuje w nich duże bezrob.)
klasyfikacja pod względem powierzchni:
mazowieckie (1)
wielkopolskie (2)
lubelskie (3)
opolskie (16)
klasyfikacja pod względem zaludnienia:
mazowieckie
śląskie
wielkopolskie
klasyfikacja pod względem PKB per capita
… w procesie przekształceń wyróżniamy:
Makrorestrukturyzację
Mezorestrukturyzację
Mikrorestrukturyzację
Nomenklatura jednostek terytorialnych dla statystyki (NUTS - w UE i NTS - w Polsce)
Unia Europejska - 25 krajów o bardzo silnym zróżnicowaniu (potrzeba utworzenia NUTS - polityka strukturalna UE, zwłaszcza jej aspekt regionalny wymaga osiągnięcia porównywalności danych statystycznych). NUTS opracowano…
…, tzw. regiony problemowe)
średnie
szybkie (regionalne lokomotywy rozwoju)
kryterium podziału dynamika wzrostu PKB.
Skala przestrzenna regionu:
I stopień - makroregion (np.Europa)
II stopień - mezoregion (subregion)
III stopień - mikroregion (jednostka lokalna)
Restrukturyzacja - oznacza proces przebudowy gospodarczej, dokonywania głębokich zmian w układzie elementów gospodarki narodowej…
... zobacz całą notatkę



Komentarze użytkowników (0)

Zaloguj się, aby dodać komentarz