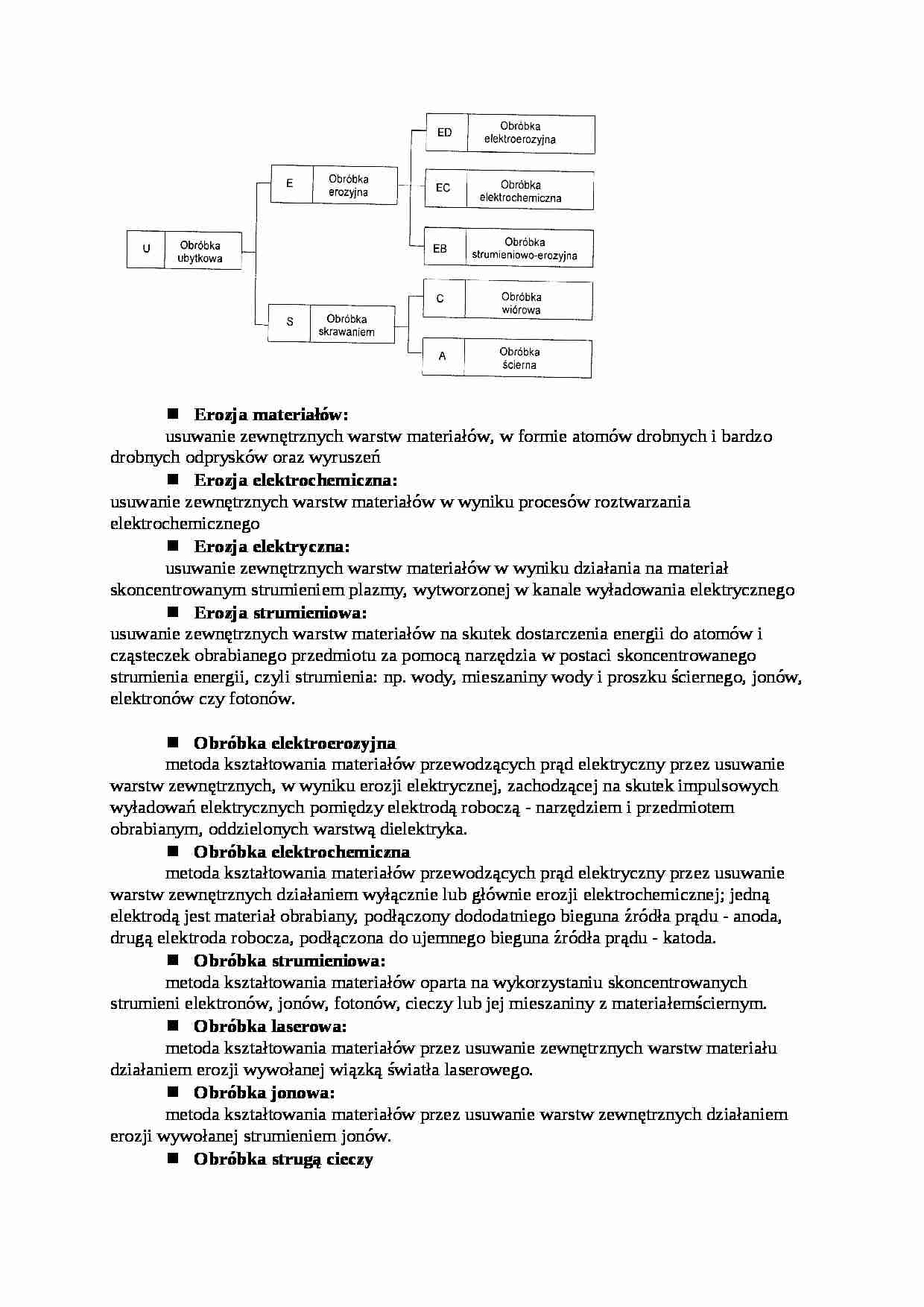
procesy produkcyjne - erozja materiałów

Nasza ocena:

3
Pobrań: 98
Wyświetleń: 2961
Komentarze: 0
Notatek.pl

Pobierz ten dokument za darmo

Podgląd dokumentu
procesy produkcyjne - erozja materiałów - strona 1

Fragment notatki:



Komentarze użytkowników (0)

Zaloguj się, aby dodać komentarz