Problemy demograficzne - wykład

Nasza ocena:

3
Pobrań: 112
Wyświetleń: 525
Komentarze: 0
Notatek.pl

Pobierz ten dokument za darmo

Podgląd dokumentu
Problemy demograficzne - wykład - strona 1 Problemy demograficzne - wykład - strona 2 Problemy demograficzne - wykład - strona 3

Fragment notatki:

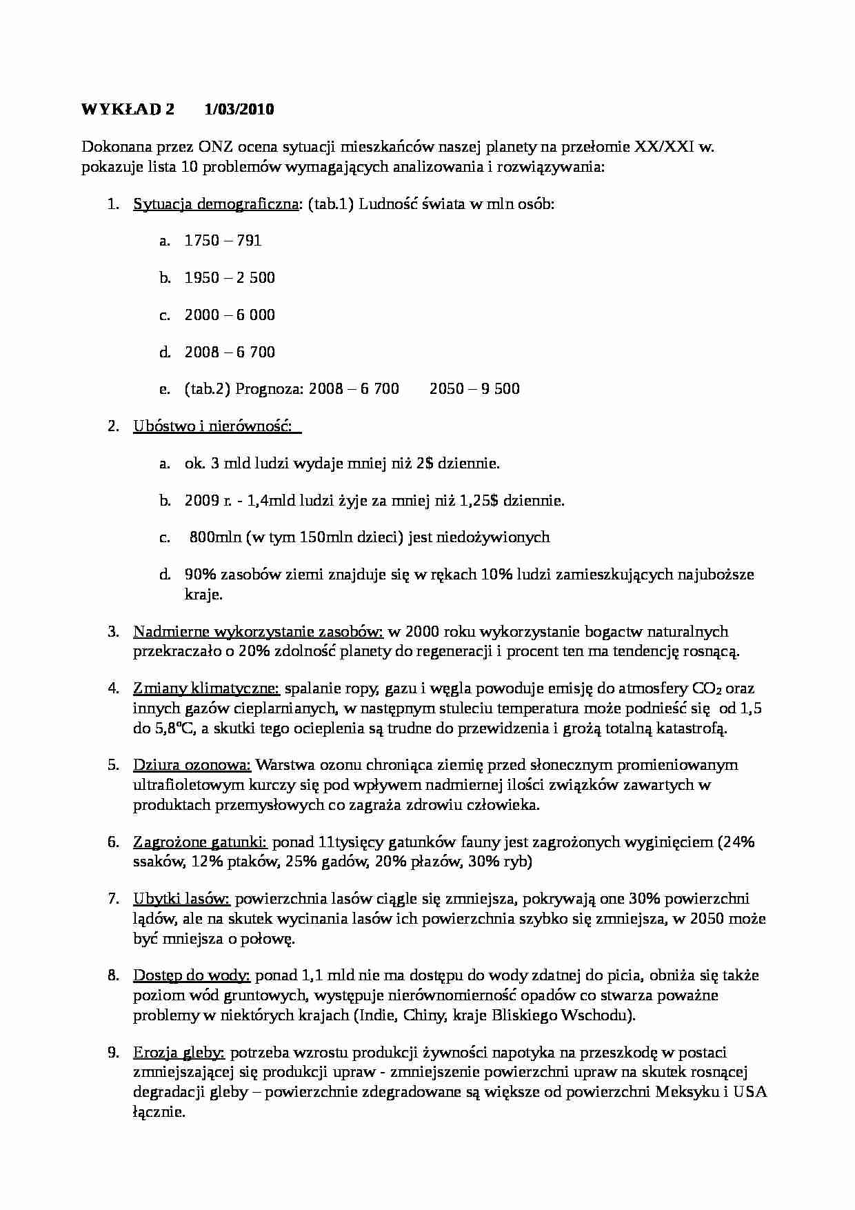
WYKŁAD 2 1/03/2010
Dokonana przez ONZ ocena sytuacji mieszkańców naszej planety na przełomie XX/XXI w. pokazuje lista 10 problemów wymagających analizowania i rozwiązywania:
Sytuacja demograficzna: (tab.1) Ludność świata w mln osób: 1750 - 791
1950 - 2 500
2000 - 6 000
2008 - 6 700
(tab.2) Prognoza: 2008 - 6 700 2050 - 9 500 Ubóstwo i nierówność: ok. 3 mld ludzi wydaje mniej niż 2$ dziennie. 2009 r. - 1,4mld ludzi żyje za mniej niż 1,25$ dziennie.
800mln (w tym 150mln dzieci) jest niedożywionych
90% zasobów ziemi znajduje się w rękach 10% ludzi zamieszkujących najuboższe kraje.
Nadmierne wykorzystanie zasobów: w 2000 roku wykorzystanie bogactw naturalnych przekraczało o 20% zdolność planety do regeneracji i procent ten ma tendencję rosnącą.
Zmiany klimatyczne: spalanie ropy, gazu i węgla powoduje emisję do atmosfery CO2 oraz innych gazów cieplarnianych, w następnym stuleciu temperatura może podnieść się od 1,5 do 5,8oC, a skutki tego ocieplenia są trudne do przewidzenia i grożą totalną katastrofą.
Dziura ozonowa: Warstwa ozonu chroniąca ziemię przed słonecznym promieniowanym ultrafioletowym kurczy się pod wpływem nadmiernej ilości związków zawartych w produktach przemysłowych co zagraża zdrowiu człowieka.
Zagrożone gatunki: ponad 11tysięcy gatunków fauny jest zagrożonych wyginięciem (24% ssaków, 12% ptaków, 25% gadów, 20% płazów, 30% ryb)
Ubytki lasów: powierzchnia lasów ciągle się zmniejsza, pokrywają one 30% powierzchni lądów, ale na skutek wycinania lasów ich powierzchnia szybko się zmniejsza, w 2050 może być mniejsza o połowę.
Dostęp do wody: ponad 1,1 mld nie ma dostępu do wody zdatnej do picia, obniża się także poziom wód gruntowych, występuje nierównomierność opadów co stwarza poważne problemy w niektórych krajach (Indie, Chiny, kraje Bliskiego Wschodu).
Erozja gleby: potrzeba wzrostu produkcji żywności napotyka na przeszkodę w postaci zmniejszającej się produkcji upraw - zmniejszenie powierzchni upraw na skutek rosnącej degradacji gleby - powierzchnie zdegradowane są większe od powierzchni Meksyku i USA łącznie.
Wyczerpywanie się łowisk w morzach i oceanach: spowodowane jest nadmierną ich eksploatacją oraz rosnącym zanieczyszczeniem wód.
BADANIA PODSTAWOWE, BADANIA STOSOWANE I WDRAŻANIE TZW KONCEPCJI ZRÓWNOWAŻONEGO ROZWOJU W SKALI GLOBALNEJ
BADANIA PODSTAWOWE
Analiza zachodzących prawidłowości w procesie reprodukcji środowiska naturalnego związanych z działalnością gospodarczą człowieka.
Rozwój teorii waloryzacji zasobów naturalnych.


(…)

… biosfery; np. Tales z Miletu - woda, Anaksymedes - powietrze, Ksenofanes - ziemia i gleba, Enpedokles - wszystkie składniki biosfery oraz energia utożsamiana z ogniem, Anaksagoras - zależność życia od słońca.
DEFINICJE EKOLOGII (współczesne)
nauka biologiczna o strukturze i funkcjonowaniu żywej przyrody, obejmująca całość zjawisk dotyczących wzajemnych zależności między organizmami i zespołami organizmów…
... zobacz całą notatkę



Komentarze użytkowników (0)

Zaloguj się, aby dodać komentarz