Prawo odszkodowawcze

Nasza ocena:

3
Pobrań: 98
Wyświetleń: 1330
Komentarze: 0
Notatek.pl

Pobierz ten dokument za darmo

Podgląd dokumentu
Prawo odszkodowawcze - strona 1

Fragment notatki:

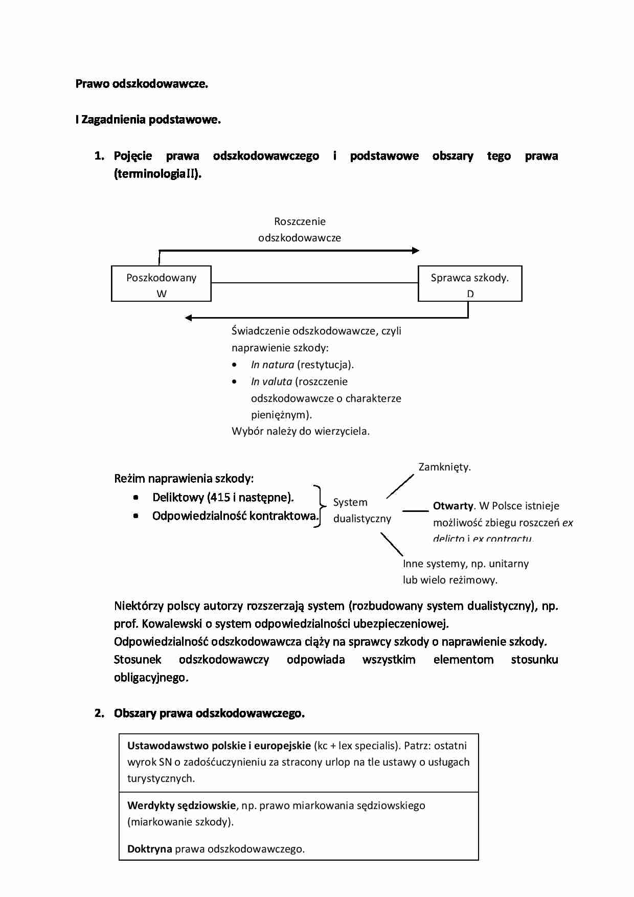
Prawo odszkodowawcze. I Zagadnienia podstawowe. Pojęcie prawa odszkodowawczego i podstawowe obszary tego prawa (terminologia!!). Reżim naprawienia szkody:
Deliktowy (415 i następne). Odpowiedzialność kontraktowa.
Niektórzy polscy autorzy rozszerzają system (rozbudowany system dualistyczny), np. prof. Kowalewski o system odpowiedzialności ubezpieczeniowej.
Odpowiedzialność odszkodowawcza ciąży na sprawcy szkody o naprawienie szkody.
Stosunek odszkodowawczy odpowiada wszystkim elementom stosunku obligacyjnego.
Obszary prawa odszkodowawczego. Roszczenie odszkodowawcze
Sprawca szkody.
D
Poszkodowany
W
Świadczenie odszkodowawcze, czyli naprawienie szkody: In natura (restytucja). In valuta (roszczenie odszkodowawcze o charakterze pieniężnym).
Wybór należy do wierzyciela.
Zamknięty.
Otwarty . W Polsce istnieje możliwość zbiegu roszczeń ex delicto i ex contractu .
System dualistyczny
Inne systemy, np. unitarny lub wielo reżimowy.
Ustawodawstwo polskie i europejskie (kc + lex specialis). Patrz: ostatni wyrok SN o zadośćuczynieniu za stracony urlop na tle ustawy o usługach turystycznych. Werdykty sędziowskie , np. prawo miarkowania sędziowskiego (miarkowanie szkody). Doktryna prawa odszkodowawczego.
... zobacz całą notatkę



Komentarze użytkowników (0)

Zaloguj się, aby dodać komentarz