Posiedzenie sądowe

Nasza ocena:

3
Pobrań: 56
Wyświetleń: 1281
Komentarze: 0
Notatek.pl

Pobierz ten dokument za darmo

Podgląd dokumentu
Posiedzenie sądowe - strona 1 Posiedzenie sądowe - strona 2 Posiedzenie sądowe - strona 3

Fragment notatki:

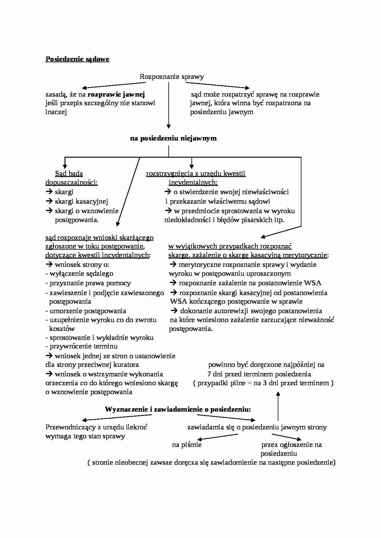
Posiedzenie sądowe Rozpoznanie sprawy zasadą, że na rozprawie jawnej sąd może rozpatrzyć sprawę na rozprawie jeśli przepis szczególny nie stanowi jawnej, która winna być rozpatrzona na inaczej posiedzeniu jawnym na posiedzeniu niejawnym Sąd bada rozstrzygnięcia z urzędu kwestii dopuszczalności: incydentalnych: skargi o stwierdzenie swojej niewłaściwości skargi kasacyjnej i przekazanie właściwemu sądowi skargi o wznowienie w przedmiocie sprostowania w wyroku postępowania. niedokładności i błędów pisarskich itp. sąd rozpoznaje wnioski skarżącego zgłoszone w toku postępowanie , w wyjątkowych przypadkach rozpoznać dotyczące kwestii incydentalnych : skargę, zażalenie o skargę kasacyjną merytorycznie : wniosek strony o: merytoryczne rozpoznanie sprawy i wydanie - wyłączenie sędziego wyroku w postępowaniu uproszczonym - przyznanie prawa pomocy rozpoznanie zażalenie na postanowienie WSA - zawieszenie i podjęcie zawieszonego rozpoznanie skargi kasacyjnej od postanowienia
postępowania WSA kończącego postępowanie w sprawie
- umorzenie postępowania dokonanie autorewizji swojego postanowienia - uzupełnienie wyroku co do zwrotu na które wniesiono zażalenie zarzucające nieważność kosztów postępowania. - sprostowanie i wykładnie wyroku - przywrócenie terminu wniosek jednej ze stron o ustanowienie dla strony przeciwnej kuratora powinno być doręczone najpóźniej na wniosek o wstrzymanie wykonania 7 dni przed terminem posiedzenia orzeczenia co do którego wniesiono skargę ( przypadki pilne = na 3 dni przed terminem ) o wznowienie postępowania Wyznaczenie i zawiadomienie o posiedzeniu: Przewodniczący z urzędu ilekroć zawiadamia się o posiedzeniu jawnym strony wymaga tego stan sprawy na piśmie przez ogłoszenie na posiedzeniu ( stronie nieobecnej zawsze doręcza się zawiadomienie na następne posiedzenie) Posiedzenie jawne

(…)

… w sprawie zapada publicznie Sąd nawet przy zgodnym wniosku stron, odroczy posiedzenie tylko z ważnej przyczyny Istota rozprawy od orzeczeń przewodniczącego w toku rozprawy- odwołanie do sądu orzekającego do zamknięcia rozprawy chronologia czynności: 1. wywołanie rozprawy 2. sprawozdanie sędziego ( zwięzłe przedstawienie sprawy ) 3. skarżący, potem organ : a: zgłaszają ustnie żądania i wnioski
b: składają…
... zobacz całą notatkę



Komentarze użytkowników (0)

Zaloguj się, aby dodać komentarz