Podstawy eksploatacji technicznej - ćwiczenia - czas zdatności obiektu

Nasza ocena:

3
Pobrań: 469
Wyświetleń: 2114
Komentarze: 0
Notatek.pl

Pobierz ten dokument za darmo

Podgląd dokumentu
Podstawy eksploatacji technicznej - ćwiczenia - czas zdatności obiektu - strona 1

Fragment notatki:

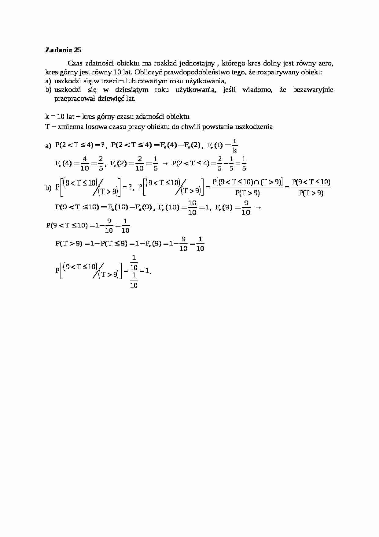
Zadanie 25
Czas zdatności obiektu ma rozkład jednostajny , którego kres dolny jest równy zero, kres górny jest równy 10 lat. Obliczyć prawdopodobieństwo tego, że rozpatrywany obiekt:
a) uszkodzi się w trzecim lub czwartym roku użytkowania,
b) uszkodzi się w dziesiątym roku użytkowania, jeśli wiadomo, że bezawaryjnie przepracował dziewięć lat.
k = 10 lat − kres górny czasu zdatności obiektu
T − zmienna losowa czasu pracy obiektu do chwili powstania uszkodzenia
a) , , , → b) , , , → .
... zobacz całą notatkę



Komentarze użytkowników (0)

Zaloguj się, aby dodać komentarz