Podstawowe zagadnienia - psychologia zaburzeń zachowania

Nasza ocena:

5
Pobrań: 350
Wyświetleń: 1400
Komentarze: 0
Notatek.pl

Pobierz ten dokument za darmo

Podgląd dokumentu
Podstawowe zagadnienia - psychologia zaburzeń zachowania - strona 1 Podstawowe zagadnienia - psychologia zaburzeń zachowania - strona 2 Podstawowe zagadnienia - psychologia zaburzeń zachowania - strona 3

Fragment notatki:

PODSTAWOWE POJĘCIA
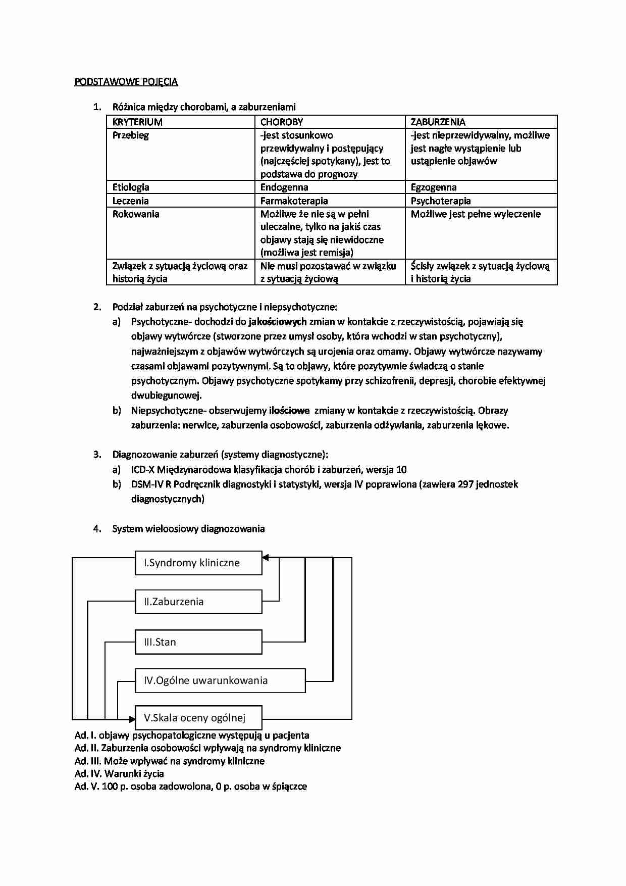
Różnica między chorobami, a zaburzeniami
KRYTERIUM
CHOROBY
ZABURZENIA
Przebieg
-jest stosunkowo przewidywalny i postępujący (najczęściej spotykany), jest to podstawa do prognozy
-jest nieprzewidywalny, możliwe jest nagłe wystąpienie lub ustąpienie objawów
Etiologia
Endogenna
Egzogenna
Leczenia
Farmakoterapia
Psychoterapia
Rokowania
Możliwe że nie są w pełni uleczalne, tylko na jakiś czas objawy stają się niewidoczne (możliwa jest remisja)
Możliwe jest pełne wyleczenie
Związek z sytuacją życiową oraz historią życia
Nie musi pozostawać w związku z sytuacją życiową
Ścisły związek z sytuacją życiową i historią życia
Podział zaburzeń na psychotyczne i niepsychotyczne:
Psychotyczne- dochodzi do jakościowych zmian w kontakcie z rzeczywistością, pojawiają się objawy wytwórcze (stworzone przez umysł osoby, która wchodzi w stan psychotyczny), najważniejszym z objawów wytwórczych są urojenia oraz omamy. Objawy wytwórcze nazywamy czasami objawami pozytywnymi. Są to objawy, które pozytywnie świadczą o stanie psychotycznym. Objawy psychotyczne spotykamy przy schizofrenii, depresji, chorobie efektywnej dwubiegunowej.
Niepsychotyczne- obserwujemy ilościowe zmiany w kontakcie z rzeczywistością. Obrazy zaburzenia: nerwice, zaburzenia osobowości, zaburzenia odżywiania, zaburzenia lękowe.
Diagnozowanie zaburzeń (systemy diagnostyczne):
ICD-X Międzynarodowa klasyfikacja chorób i zaburzeń, wersja 10
DSM-IV R Podręcznik diagnostyki i statystyki, wersja IV poprawiona (zawiera 297 jednostek diagnostycznych)
System wieloosiowy diagnozowania
Ad. I. objawy psychopatologiczne występują u pacjenta
Ad. II. Zaburzenia osobowości wpływają na syndromy kliniczne
Ad. III. Może wpływać na syndromy kliniczne
Ad. IV. Warunki życia
Ad. V. 100 p. osoba zadowolona, 0 p. osoba w śpiączce
Rodzaje etiologii:
Etiologia- przyczyna albo pochodzenie
Czynnik etiologiczny- bezpośrednio wywołuje chorobę lub zaburzenia (jest ich więcej niż jeden)
PATOMECHANIZM- określenie mechanizmu współdziałania czynników, który leży u podłoża objawów
Czynniki endogenne- genetyczna predyspozycja do występowania chorób i zaburzeń; może wystąpić choroba ale nie musi; są one dziedziczone wg 2 zasad:


(…)

…, a jednocześnie w poważnym stopniu zagraża dobru jednostki lub dobru społeczności do której owa jednostka należy.
Psychoanalityczny model normalności:
-zdrowa proporcja między id, a ego i superego
-siła ego, które jest dojrzałą częścią osobowości, która kontroluje nasze zachowanie
-cierpliwość ego- tolerancja na frustracje (sytuacja w której ponieśliśmy porażkę), kontrola nad impulsami, zdolność do odraczania gratyfikacji
Koncepcja behawioralna:
-zaburzenia zachowania można podzielić na dwie kategorie:
I. posiadanie nieprzystosowanych nawyków
II. brak przystosowawczych nawyków
-eliminacja nawyków dysfunkcyjnych
-trenowanie nawyków
Psychologia poznawcza:
-zaburzenia polegają na nieprawidłowościach w przetwarzaniu informacji (takie wnioski to ATRYBUCJE)
Psychologia humanistyczna:
-koncepcja człowieka funkcjonującego…
… narzucone przez grupy patologiczne
Teoretyczna- ujęcie, które przedstawia normę jako wzorzec idealny, który powstał dzięki teoriom psychologicznym
Kryteria stosowane do oceny zaburzeń zachowania
Zdrowie- stan pełnego dobrostanu psychofizycznego oraz społecznego
Kryteria:
-cierpienie, ból psychiczny i fizyczny
-trudności w przystosowaniu indywidualnym- trudności w realizacji własnych potrzeb, wykonywanie…
…) zbiór objawów, które występują łącznie i są przez to charakterystyczne dla określonej choroby czy zaburzenia
Objawy osiowe- muszą wystąpić w obrazie zaburzenia lub choroby. Dla nerwic: lęk, egocentryzm, błędne koło, objawy somatyczne
Objawy peryferyczne- może się pojawić ale nie musi, jest mniej ważny. Dla nerwic: tiki, drętwienia.
Normy
Statystyczna- statystyczny opis populacji; normy służą…
... zobacz całą notatkę



Komentarze użytkowników (0)

Zaloguj się, aby dodać komentarz