Podstawowe przekształcenia i twierdzenia Laplace - wykład

Nasza ocena:

3
Pobrań: 119
Wyświetleń: 826
Komentarze: 0
Notatek.pl

Pobierz ten dokument za darmo

Podgląd dokumentu
Podstawowe przekształcenia i twierdzenia Laplace - wykład - strona 1 Podstawowe przekształcenia i twierdzenia Laplace - wykład - strona 2 Podstawowe przekształcenia i twierdzenia Laplace - wykład - strona 3

Fragment notatki:

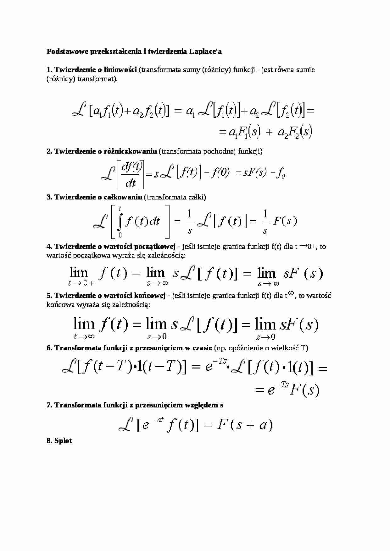
Podstawowe przekształcenia i twierdzenia Laplace'a
1. Twierdzenie o liniowości (transformata sumy (różnicy) funkcji - jest równa sumie (różnicy) transformat). 2. Twierdzenie o różniczkowaniu (transformata pochodnej funkcji) 3. Twierdzenie o całkowaniu (transformata całki) 4. Twierdzenie o wartości początkowej - jeśli istnieje granica funkcji f(t) dla t 0+, to wartość początkowa wyraża się zależnością: 5. Twierdzenie o wartości końcowej - jeśli istnieje granica funkcji f(t) dla t , to wartość końcowa wyraża się zależnością: 6. Transformata funkcji z przesunięciem w czasie (np. opóźnienie o wielkość T) 7. Transformata funkcji z przesunięciem względem s 8. Splot Przykład: Stosując powyższe twierdzenia Laplace'a zapisać równanie różniczkowe opisujące obiekt sterowania w formie operatorowej: , równanie różniczkowe obiektu inercyjnego gdzie:
T - stała czasowa inercji, k - stały współczynnik. Na podstawie twierdzenia 1. (o sumie funkcji) i 2. (transformata pochodnej) przekształcamy kolejno obie strony równania na formę operatorową:
przyjmując f0=0, y(t) Y(s), u(t) U(s), otrzymujemy operatorową postać równania:
 
Tablica wybranych transformat i oryginałów
Transformata F(s) Oryginał f(t) 1 1 (impuls Diraca) 2 (skok jednostkowy)
3
t
4 5 6 7 8 9 10 11 12 13       14       Przykład: Dana jest funkcja zespolona: . Określić funkcję oryginalną tj. funkcję w dziedzinie czasu t. Na podstawie 2 wiersza tablicy transformat i oryginałów znajdujemy: . Funkcją oryginalną jest tzw. impuls jednostkowy.
Przykład: Dana jest funkcja zespolona , określić funkcję oryginalną tj. w dziedzinie czasu t. Na podstawie 3 wiersza tablicy transformat i oryginałów znajdujemy: , a jaka będzie postać funkcji oryginału dla funkcji zespolonej: ... zobacz całą notatkę



Komentarze użytkowników (0)

Zaloguj się, aby dodać komentarz