Operacje wynikowe i ich ujęcie w systemie rachunkowości

Nasza ocena:

3
Pobrań: 322
Wyświetleń: 2485
Komentarze: 0
Notatek.pl

Pobierz ten dokument za darmo

Podgląd dokumentu
Operacje wynikowe i ich ujęcie w systemie rachunkowości - strona 1 Operacje wynikowe i ich ujęcie w systemie rachunkowości - strona 2 Operacje wynikowe i ich ujęcie w systemie rachunkowości - strona 3

Fragment notatki:

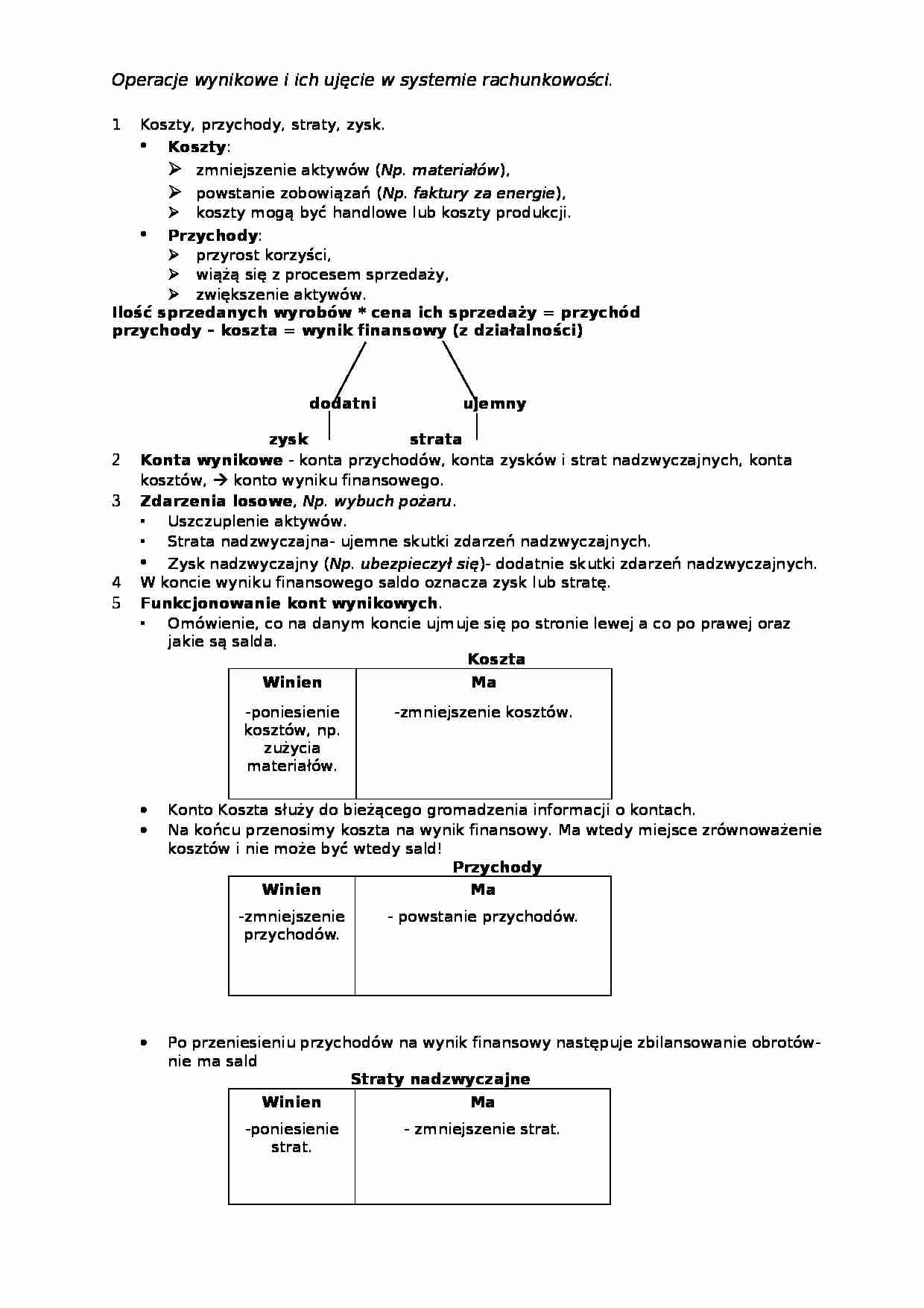
Operacje wynikowe i ich ujęcie w systemie rachunkowości. Koszty, przychody, straty, zysk.
Koszty :
zmniejszenie aktywów ( Np. materiałów ),
powstanie zobowiązań ( Np. faktury za energie ),
koszty mogą być handlowe lub koszty produkcji.
Przychody :
przyrost korzyści,
wiążą się z procesem sprzedaży,
zwiększenie aktywów.
Ilość sprzedanych wyrobów * cena ich sprzedaży = przychód przychody - koszta = wynik finansowy (z działalności) dodatni ujemny zysk strata Konta wynikowe - konta przychodów, konta zysków i strat nadzwyczajnych, konta kosztów, konto wyniku finansowego.
Zdarzenia losowe , Np. wybuch pożaru .
Uszczuplenie aktywów.
Strata nadzwyczajna- ujemne skutki zdarzeń nadzwyczajnych.
Zysk nadzwyczajny ( Np. ubezpieczył się )- dodatnie skutki zdarzeń nadzwyczajnych.
W koncie wyniku finansowego saldo oznacza zysk lub stratę.
Funkcjonowanie kont wynikowych .
Omówienie, co na danym koncie ujmuje się po stronie lewej a co po prawej oraz jakie są salda.
Koszta Winien Ma -poniesienie kosztów, np. zużycia materiałów.
-zmniejszenie kosztów.
Konto Koszta służy do bieżącego gromadzenia informacji o kontach.
Na końcu przenosimy koszta na wynik finansowy. Ma wtedy miejsce zrównoważenie kosztów i nie może być wtedy sald!
Przychody Winien Ma -zmniejszenie przychodów.
- powstanie przychodów.
Po przeniesieniu przychodów na wynik finansowy następuje zbilansowanie obrotów- nie ma sald
Straty nadzwyczajne Winien Ma -poniesienie strat.
- zmniejszenie strat.
Przenosimy na koniec roku na konto wyniku finansowego- nie ma sald.
Straty księguje się podobnie jak koszta, ale muszą być na osobnych kontach!
Zysk Winien Ma - zmniejszenie zysku.
- zwiększenie zysku.
Przenosimy zyski na konto wyniku finansowego na koniec roku.
Saldo informuje nas, jaki jest zysk.
Zysk- Debet - W bilansie, kapitale własnym.
Strata - Kredyt
Saldo kredytowe - pasywa
Saldo debetowe - aktywa lub pasywa z minusem
Realizacja procesów gospodarczych ... zobacz całą notatkę



Komentarze użytkowników (0)

Zaloguj się, aby dodać komentarz