Odwzorowanie Gaussa-Krugera- sprawozdanie

Nasza ocena:

5
Pobrań: 252
Wyświetleń: 1932
Komentarze: 0
Notatek.pl

Pobierz ten dokument za darmo

Podgląd dokumentu
Odwzorowanie Gaussa-Krugera- sprawozdanie - strona 1 Odwzorowanie Gaussa-Krugera- sprawozdanie - strona 2 Odwzorowanie Gaussa-Krugera- sprawozdanie - strona 3

Fragment notatki:

ODWZOROWANIE GAUSSA – KRUGERA
(zwane w krajach anglosaskich poprzecznym odwzorowaniem Merkatora)
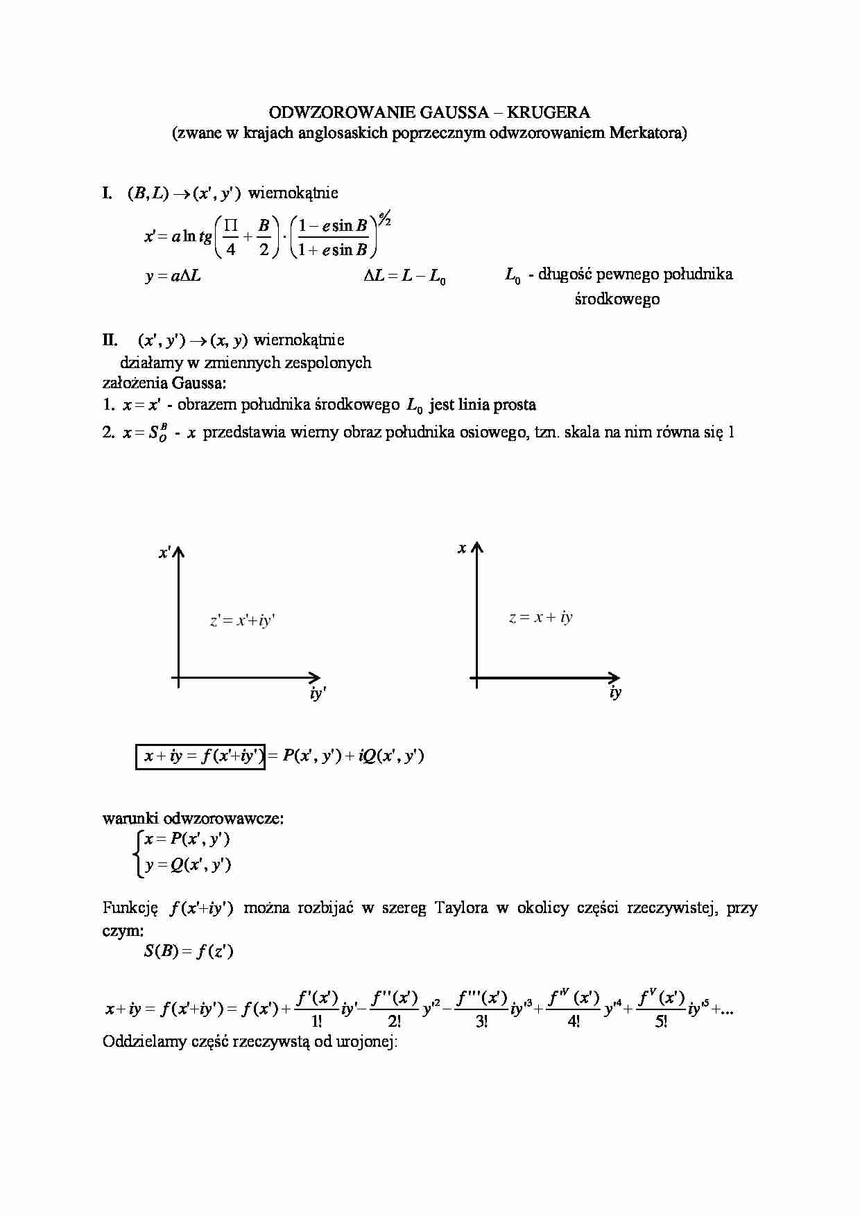
I. ( B, L)  ( x' , y' ) wiernokątnie
e
  B   1  e sin B  2
x'  a ln tg     

 4 2   1  e sin B 
y  aL
L  L  L0
L0 - długość pewnego południka
środkowego
( x' , y' )  ( x, y) wiernokątnie
działamy w zmiennych zespolonych
założenia Gaussa:
1. x  x' - obrazem południka środkowego L0 jest linia prosta
II.
B
2. x  S O - x przedstawia wierny obraz południka osiowego, tzn. skala na nim równa się 1
x
x'
z  x  iy
z '  x'iy '
iy '
iy
x  iy  f ( x'iy ' )  P( x' , y' )  iQ( x' , y' )
warunki odwzorowawcze:
x  P( x' , y ' )
y  Q( x' , y ' )
Funkcję f ( x'iy ' ) można rozbijać w szereg Taylora w okolicy części rzeczywistej, przy
czym:
S ( B)  f ( z ' )
f ' ( x' )
f ' ' ( x' ) 2 f ' ' ' ( x' ) 3 f 'V ( x' ) 4 f V ( x' ) 5
iy '
y' 
iy ' 
y' 
iy ' ...
1!
2!
3!
4!
5!
Oddzielamy część rzeczywstą od urojonej:
x  iy  f ( x'iy ' )  f ( x' ) 
1
1 IV
f ' ' ( x ' ) y '2 
f ( x' ) y IV  ....
2
24
1
1 V
y  f ' ( x' ) y ' f ' ' ' ( x' ) y '3 
f ( x' ) yV  ....
6
120
x  f ( x' ) 
Pierwszy warunek Gaussa x  x' jest spełniony
dla y'  0 mamy y  0 , czyli obraz osi x' jest osią x
Drugi warunek realizuje się poprzez obliczenie pochodnej:
x  f ( x' )  s[ B( x' )]
B
0
0
a(1  e 2 )
B
B
s O   MdB  
(1  e 2 sin 2 B)
3
dB
2
a(1  e 2 )
ds

dB (1  e 2 sin 2 B) 3 2
df
ds ds dB
f ' ( x' ) 



dx' dx' dB dx'
dx'
obliczamy
dB
dx'
a(1  e 2 )

dB cos B(1  e 2 sin 2 B)
cos B(1  e 2 sin 2 B)
cos B

3
1
2
a(1  e )
(1  e 2 sin 2 B) 2
(1  e 2 sin 2 B) 2
df ' dB
 cos B sin B
f ' ' ( x' ) 


dB dx' a 1  e 2 sin 2 B
f ' ( x' ) 
a(1  e 2 )

 df ' ' dB
 cos B sin B 
e2
1  tg 2 B 
cos B  
2

 dB  dx'
2
2
1 e
a 1  e sin B 

df ' ' dB
f IV ( x' ) 

dB dx'
f ' ' ' ( x' ) 
Po podstawieniu pochodnych dostajemy ostateczne wzory Gaussa – Krugera:
(L) 2
(L) 4
x  s ( B) 
N sin B cos B 
N sin B cos 3 B( s  tg 2 B  9e'2 cos 2 B...)
2!
4!
długość łuku południka
LN cos B (L)3
y

cos 3 B(1  tg 2 B  e'2 cos 2 B)  ...
1
3!
Bx
x
elipsoida
obraz
L
równoleżnika
y
A'
B
s0
A
x
B
s0
równik
równik
y
L0
Zadanie odwrotne w odwzorowaniu Gaussa – Krugera
Dane: P( x, y); L0 ; Bx  z tablic
Szukane: B; L; L;


1 y2
1
y4
B  Bx  
 tgB x  
s  3tg 2 Bx  e'2 cos 2 Bx  9e'2 cos 4 Bx  ...
2 MN
24 M 1 N13
L  L  L0 


y
1
y3
  3
1  2tg 2 Bx  e'2 cos 2 Bx  9e'2 cos 4 Bx  ...
N1 cos Bx 6 N1 cos Bx
ZBIEŻNOŚĆ POŁUDNIKÓW NA ELIPSOIDZIE
L
'
L  L  L0
P
L0
L
Def.
Kąt zawarty między płaszczyzną południka punktu P a płaszczyzną równoległą do
płaszczyzny południka początkowego oznaczamy  ' i nazywamy zbieżnością południków na
elipsoidzie w punkcie P.
L3
 '  L sin B 
sin B cos 2 B(1  e' 2 cos 2 B)  ...
3
Na płaszczyźnie:

P'
 - zbieżność południków na płaszczyźnie Gaussa – Krugera
L3
  L sin B 
sin B cos 2 B(1  3e'2 cos 2 B  ... zobacz całą notatkę



Komentarze użytkowników (0)

Zaloguj się, aby dodać komentarz