Odwzorowania liniowe - algebra

Nasza ocena:

3
Pobrań: 21
Wyświetleń: 896
Komentarze: 0
Notatek.pl

Pobierz ten dokument za darmo

Podgląd dokumentu
Odwzorowania liniowe - algebra - strona 1 Odwzorowania liniowe - algebra - strona 2 Odwzorowania liniowe - algebra - strona 3

Fragment notatki:


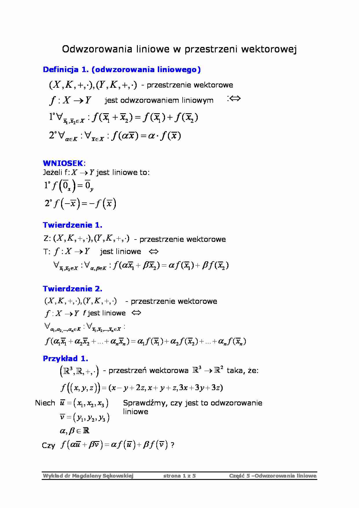
Odwzorowania liniowe w przestrzeni wektorowej    Definicja 1. (odwzorowania liniowego)    1 2 , 1 2 1 ( , , , ), ( , , , ) : 1 : ( ) ( ) ( 2 : : ( ) ( ) x x X K x X X K Y K f X Y f x x f x f x f x f x α α α ∈ ∈ ∈ + ⋅ + ⋅ → ∀ + = + ∀ ∀ = ⋅ - przestrzenie wektorowe  : ⇔ jest odwzorowaniem liniowym  2 )                   WNIOSEK :  Jeżeli f:          jest liniowe to:    X Y →  1 0      2 ( ) ( ) ( ) 0 x y f f x f = − = − x   Twierdzenie 1.            1 2 , , 1 2 1 , , , ),( , , , ) : : : ( ) ( ) ( x x X K X K Y K f X Y f x x f x f x α β α β α β ∈ ∈ + ⋅ + ⋅ → ∀ ∀ + = + ⇔ - przestrzenie wektorowe  jest liniowe  ( Z:  T:   2 )   Twierdzenie 2.   (   f X    ∀ ∀      f 1 2, 1 2 , ..., , ,..., 1 1 2 2 1 1 2 2 , , , ), ( , , , ) : : : ( ... ) ( ) ( ) ... ( n n K x x x X n n n n X K Y K Y x x x f x f x f x α α α α α α α α α ∈ ∈ + ⋅ + ⋅ → + + + = + + + ⇔ - przestrzenie wektorowe  f  jest liniowe  )               Przykład 1.  ( ) ( ) ( ) ( ) ( ) ( ) ( ) ( ) 3 1 2 3 1 2 3 , , , , , ( 2 , ,3 3 3 ) , , , , , f x y z x y z x y z x y z u x x x v y y y f u v f u f v α β α β α β + ⋅ = − + + + + + = = ∈ + = + R               3 2 → Niech Sprawdźmy, czy jest to odwzorowanie  liniowe  ?  Czy  - przestrzeń wektorowa   , że:  taka Wykład dr Magdaleny Sękowskiej  strona 1 z 5  Część 5 –Odwzorowania liniowe                       ( ) ( ) ( ) ( ) ( ) ( ) ( ) ( ) ( ) ( ( ) ( ) ( ) ) ( ) ( ( ) 1 2 3 1 2 3 1 1 2 2 3 3 1 2 3 1 2 3 1 2 3 1 2 3 1 2 3 1 2 3 1 2 3 1 2 3 1 2 3 1 2 3 1 2 3 1 2 3 1 2 3 , , , , , , 2 2 , , 3 3 3 3 3 3 2 , ,3 3 3 2 , ,3 3 3 , , f u v f x x x y y y f x y x y x y x x x y y y x x x y y y x x x y y y x x x x x x x x x y y y y y y y y y f x x x α β α β α β α β α β α β α β α β α β α + = + = = + + + =

(…)

… , +, ⋅ )
- przestrzenie wektorowe
f : X → Y jest liniowe
Jądrem odwzorowania liniowego nazywamy ogół takich wektorów z
przestrzeni X, których wartość jest wektorem zerowym przestrzeni Y
Kerf := { x ∈ X : f ( x ) = 0 y }
X
Y
0y
Ker f
Obrazem odwzorowania f (przeciwdziedziną, zbiorem wartości)
nazywamy zbiór
Im f := { y ∈ Y : ∃x∈X : y = f ( x )}
X
Y
Im f
WNIOSEK:
Kerf = f −1 {0}
 
Im f = { f ( x ) : x ∈ X }
Wykład dr…
… wektorowe
f ∈ L ( X , U ) ∧ g ∈ L (U , Y )
T : g f ∈ L ( X ,Y )
Wykład dr Magdaleny Sękowskiej
strona 4 z 5
Część 5 –Odwzorowania liniowe
Definicja 8.
( X , K , +, ⋅ )
( K , K , +, ⋅ )
Każde ciało może być traktowane jako
przestrzeń wektorowa nad samym sobą
Odwzorowanie liniowe f: X -> K nazywamy formą liniową
WNIOSEK
( L ( X , U ) , K , +, ⋅)
Zbiór form liniowych z dodawaniem i mnożeniem
odwzorowań…
... zobacz całą notatkę



Komentarze użytkowników (0)

Zaloguj się, aby dodać komentarz