Notatki z ćwiczeń 6

Nasza ocena:

3
Pobrań: 42
Wyświetleń: 1155
Komentarze: 0
Notatek.pl

Pobierz ten dokument za darmo

Podgląd dokumentu
Notatki z ćwiczeń 6 - strona 1 Notatki z ćwiczeń 6 - strona 2

Fragment notatki:

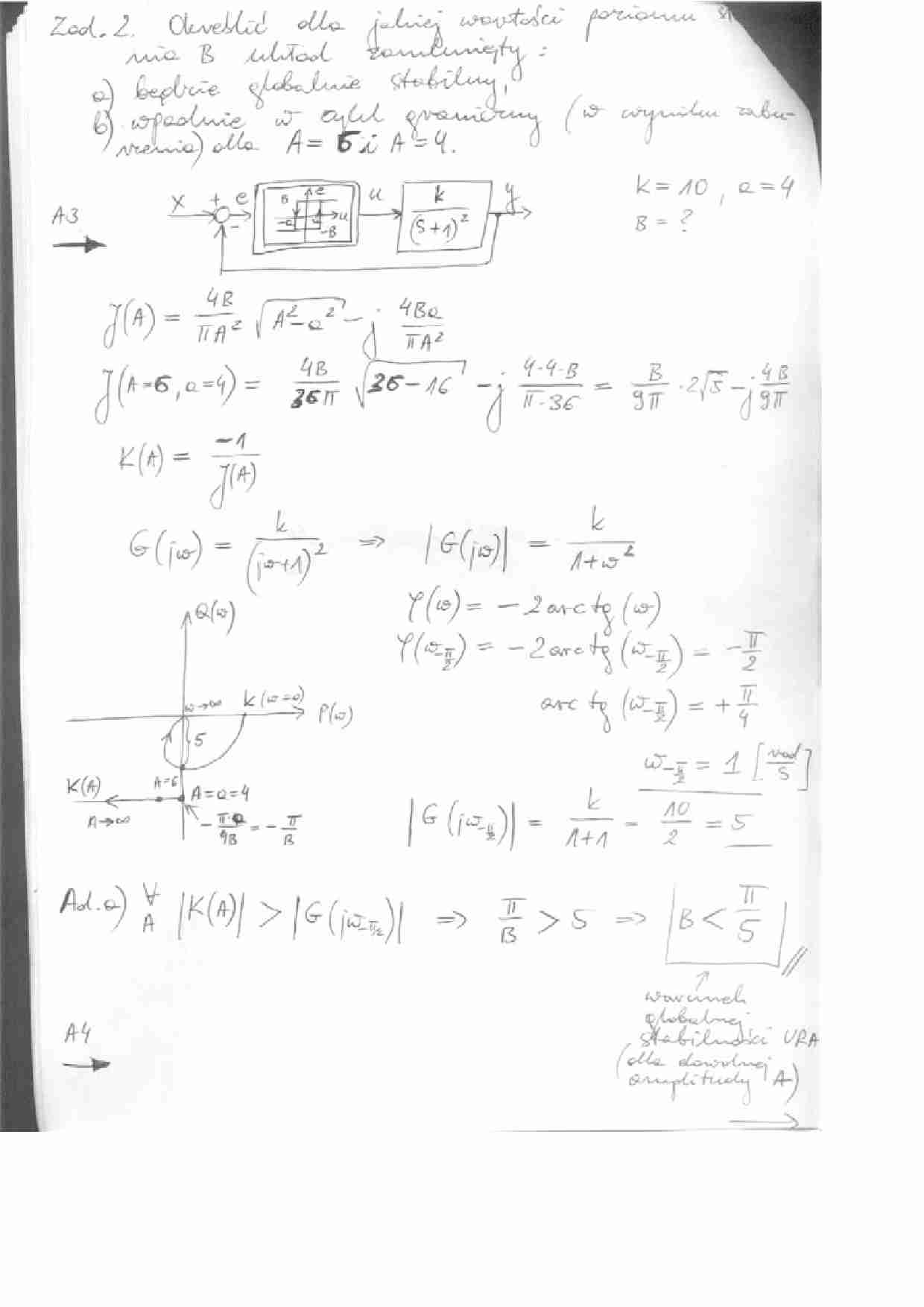
Notatka porusza między innymi zagadnienia takie jak: określić dla jakiej wartości poziomu B układy zamknięty a) będzie globalnie stabilny, b) wpadnie w cykl graniczny dla A=6 i A=4, obliczenia, warunek globalnej stabilności, dla dowolnej amplitudy. ... zobacz całą notatkę



Komentarze użytkowników (0)

Zaloguj się, aby dodać komentarz